3.6 Parallel and Perpendicular Lines

Learning Objectives

  1. Determine the slopes of parallel and perpendicular lines.
  2. Find equations of parallel and perpendicular lines.

Definition of Parallel and Perpendicular

Parallel linesLines in the same plane that do not intersect; their slopes are the same. are lines in the same plane that never intersect. Two nonvertical lines in the same plane, with slopes m1 and m2, are parallel if their slopes are the same, m1=m2. Consider the following two lines:

Consider their corresponding graphs:

Both lines have a slope m=34 and thus are parallel.

Perpendicular linesLines in the same plane that intersect at right angles; their slopes are opposite reciprocals. are lines in the same plane that intersect at right angles (90 degrees). Two nonvertical lines in the same plane, with slopes m1 and m2, are perpendicular if the product of their slopes is −1: m1m2=1. We can solve for m1 and obtain m1=1m2. In this form, we see that perpendicular lines have slopes that are negative reciprocals, or opposite reciprocalsTwo real numbers whose product is −1. Given a real number ab, the opposite reciprocal is ba.. For example, if given a slope

then the slope of a perpendicular line is the opposite reciprocal:

The mathematical notation m reads “m perpendicular.” We can verify that two slopes produce perpendicular lines if their product is −1.

Geometrically, we note that if a line has a positive slope, then any perpendicular line will have a negative slope. Furthermore, the rise and run between two perpendicular lines are interchanged.

Perpendicular lines have slopes that are opposite reciprocals, so remember to find the reciprocal and change the sign. In other words,

Determining the slope of a perpendicular line can be performed mentally. Some examples follow.

Given slope Slope of perpendicular line
m=12 m=2
m=34 m=43
m=3 m=13
m=4 m=14

 

Example 1: Determine the slope of a line parallel to y=5x+3.

Solution: Since the given line is in slope-intercept form, we can see that its slope is m=5. Thus the slope of any line parallel to the given line must be the same, m=5. The mathematical notation m reads “m parallel.”

Answer: m=5

 

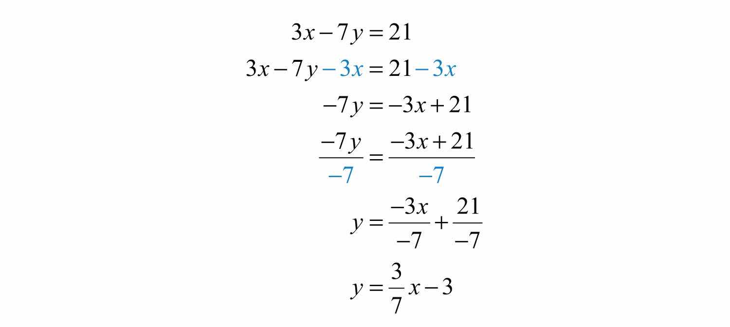
Example 2: Determine the slope of a line perpendicular to 3x7y=21.

Solution: First, solve for y and express the line in slope-intercept form.

In this form, we can see that the slope of the given line is m=37, and thus m=73.

Answer: m=73

 

Try this! Find the slope of the line perpendicular to 15x+5y=20.

Answer: m=13

Video Solution

(click to see video)

Finding Equations of Parallel and Perpendicular Lines

We have seen that the graph of a line is completely determined by two points or one point and its slope. Often you will be asked to find the equation of a line given some geometric relationship—for instance, whether the line is parallel or perpendicular to another line.

 

Example 3: Find the equation of the line passing through (6, −1) and parallel to y=12x+2.

Solution: Here the given line has slope m=12, and the slope of a line parallel is m=12. Since you are given a point and the slope, use the point-slope form of a line to determine the equation.

Answer: y=12x4

 

It is important to have a geometric understanding of this question. We were asked to find the equation of a line parallel to another line passing through a certain point.

Through the point (6, −1) we found a parallel line, y=12x4, shown dashed. Notice that the slope is the same as the given line, but the y-intercept is different. If we keep in mind the geometric interpretation, then it will be easier to remember the process needed to solve the problem.

 

Example 4: Find the equation of the line passing through (−1, −5) and perpendicular to y=14x+2.

Solution: The given line has slope m=14, and thus m=+41=4. Substitute this slope and the given point into point-slope form.

Answer: y=4x1

 

Geometrically, we see that the line y=4x1, shown dashed below, passes through (−1, −5) and is perpendicular to the given line.

It is not always the case that the given line is in slope-intercept form. Often you have to perform additional steps to determine the slope. The general steps for finding the equation of a line are outlined in the following example.

 

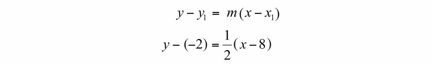
Example 5: Find the equation of the line passing through (8, −2) and perpendicular to 6x+3y=1.

Solution:

Step 1: Find the slope m. First, find the slope of the given line. To do this, solve for y to change standard form to slope-intercept form, y=mx+b.

In this form, you can see that the slope is m=2=21, and thus m=12=+12.

Step 2: Substitute the slope you found and the given point into the point-slope form of an equation for a line. In this case, the slope is m=12 and the given point is (8, −2).

Step 3: Solve for y.

Answer: y=12x6

 

Example 6: Find the equation of the line passing through (72,1) and parallel to 2x+14y=7.

Solution: Find the slope m by solving for y.

The given line has the slope m=17, and so m=17. We use this and the point (72,1) in point-slope form.

Answer: y=17x+32

 

Try this! Find the equation of the line perpendicular to x3y=9 and passing through (12,2).

Answer: y=3x+12

Video Solution

(click to see video)

When finding an equation of a line perpendicular to a horizontal or vertical line, it is best to consider the geometric interpretation.

 

Example 7: Find the equation of the line passing through (−3, −2) and perpendicular to y=4.

Solution: We recognize that y=4 is a horizontal line and we want to find a perpendicular line passing through (−3, −2).

If we draw the line perpendicular to the given horizontal line, the result is a vertical line.

Equations of vertical lines look like x=k. Since it must pass through (−3, −2), we conclude that x=3 is the equation. All ordered pair solutions of a vertical line must share the same x-coordinate.

Answer: x=3

 

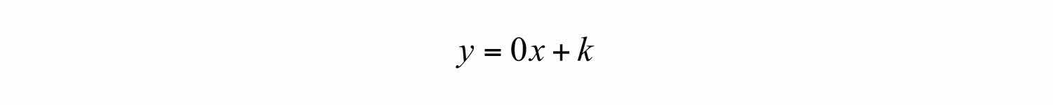
We can rewrite the equation of any horizontal line, y=k, in slope-intercept form as follows:

Written in this form, we see that the slope is m=0=01. If we try to find the slope of a perpendicular line by finding the opposite reciprocal, we run into a problem: m=10, which is undefined. This is why we took care to restrict the definition to two nonvertical lines. Remember that horizontal lines are perpendicular to vertical lines.

Key Takeaways

  • Parallel lines have the same slope.
  • Perpendicular lines have slopes that are opposite reciprocals. In other words, if m=ab, then m=ba.
  • To find an equation of a line, first use the given information to determine the slope. Then use the slope and a point on the line to find the equation using point-slope form.
  • Horizontal and vertical lines are perpendicular to each other.

Topic Exercises

Part A: Parallel and Perpendicular Lines

Determine the slope of parallel lines and perpendicular lines.

1. y=34x+8

2. y=12x3

3. y=4x+4

4. y=3x+7

5. y=58x12

6. y=73x+32

7. y=9x25

8. y=10x+15

9. y=5

10. x=12

11. xy=0

12. x+y=0

13. 4x+3y=0

14. 3x5y=10

15. 2x+7y=14

16. xy=15

17. 12x13y=1

18. 23x+45y=8

19. 2x15y=110

20. 45x2y=7

Determine if the lines are parallel, perpendicular, or neither.

21. {y=23x+3y=23x3

22. {y=34x1y=43x+3

23. {y=2x+1y=12x+8

24. {y=3x12y=3x+2

25. {y=5x=2

26. {y=7y=17

27. {3x5y=155x+3y=9

28. {xy=73x+3y=2

29. {2x6y=4x+3y=2

30. {4x+2y=36x3y=3

31. {x+3y=92x+3y=6

32. {y10=0x10=0

33. {y+2=02y10=0

34. {3x+2y=62x+3y=6

35. {5x+4y=2010x8y=16

36. {12x13y=116x+14y=2

Part B: Equations in Point-Slope Form

Find the equation of the line.

37. Parallel to y=12x+2 and passing through (6, −1).

38. Parallel to y=34x3 and passing through (−8, 2).

39. Perpendicular to y=3x1 and passing through (−3, 2).

40. Perpendicular to y=13x+2 and passing through (4, −3).

41. Perpendicular to y=2 and passing through (−1, 5).

42. Perpendicular to x=15 and passing through (5, −3).

43. Parallel to y=3 and passing through (2, 4).

44. Parallel to x=2 and passing through (7, −3).

45. Perpendicular to y=x and passing through (7, −13).

46. Perpendicular to y=2x+9 and passing through (3, −1).

47. Parallel to y=14x5 and passing through (−2, 1).

48. Parallel to y=34x+1 and passing through (4, 1/4).

49. Parallel to 2x3y=6 and passing through (6, −2).

50. Parallel to x+y=4 and passing through (9, 7).

51. Perpendicular to 5x3y=18 and passing through (−9, 10).

52. Perpendicular to xy=11 and passing through (6, −8).

53. Parallel to 15x13y=2 and passing through (−15, 6).

54. Parallel to 10x57y=12 and passing through (−1, 1/2).

55. Perpendicular to 12x13y=1 and passing through (−10, 3).

56. Perpendicular to 5x+y=1 and passing through (−4, 0).

57. Parallel to x+4y=8 and passing through (−1, −2).

58. Parallel to 7x5y=35 and passing through (2, −3).

59. Perpendicular to 6x+3y=1 and passing through (8, −2).

60. Perpendicular to 4x5y=1 and passing through (−1, −1).

61. Parallel to 5x2y=4 and passing through (15,14).

62. Parallel to 6x32y=9 and passing through (13,23).

63. Perpendicular to y3=0 and passing through (−6, 12).

64. Perpendicular to x+7=0 and passing through (5, −10).

Answers

1: m=34 and m=43

3: m=4 and m=14

5: m=58 and m=85

7: m=9 and m=19

9: m=0 and m undefined

11: m=1 and m=1

13: m=43 and m=34

15: m=27 and m=72

17: m=32 and m=23

19: m=10 and m=110

21: Parallel

23: Perpendicular

25: Perpendicular

27: Perpendicular

29: Parallel

31: Neither

33: Parallel

35: Parallel

37: y=12x4

39: y=13x+1

41: x=1

43: y=4

45: y=x6

47: y=14x+32

49: y=23x6

51: y=35x+235

53: y=35x+15

55: y=23x113

57: y=14x94

59: y=12x6

61: y=52x+14

63: x=6