5.1 Rules of Exponents

Learning Objectives

  1. Simplify expressions using the rules of exponents.
  2. Simplify expressions involving parentheses and exponents.
  3. Simplify expressions involving 0 as an exponent.

Product, Quotient, and Power Rule for Exponents

If a factor is repeated multiple times, then the product can be written in exponential formAn equivalent expression written using a rational exponent. x n. The positive integer exponent n indicates the number of times the base x is repeated as a factor.

For example,

Here the base is 5 and the exponent is 4. Exponents are sometimes indicated with the caret (^) symbol found on the keyboard: 5^4 = 5*5*5*5.

Next consider the product of 2 3 and 25,

Expanding the expression using the definition produces multiple factors of the base, which is quite cumbersome, particularly when n is large. For this reason, we will develop some useful rules to help us simplify expressions with exponents. In this example, notice that we could obtain the same result by adding the exponents.

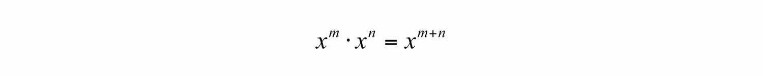
In general, this describes the product rule for exponentsxmxn=xm+n; the product of two expressions with the same base can be simplified by adding the exponents.. If m and n are positive integers, then

In other words, when multiplying two expressions with the same base, add the exponents.

 

Example 1: Simplify: 1051018.

Solution:

Answer: 1023

 

In the previous example, notice that we did not multiply the base 10 times itself. When applying the product rule, add the exponents and leave the base unchanged.

 

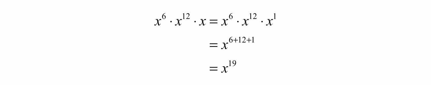
Example 2: Simplify: x6x12x.

Solution: Recall that the variable x is assumed to have an exponent of 1: x=x1.

Answer: x19

 

The base could be any algebraic expression.

 

Example 3: Simplify: (x+y)9 (x+y)13.

Solution: Treat the expression (x+y) as the base.

Answer: (x+y)22

 

The commutative property of multiplication allows us to use the product rule for exponents to simplify factors of an algebraic expression.

 

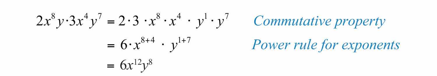
Example 4: Simplify: 2x8y3x4y7.

Solution: Multiply the coefficients and add the exponents of variable factors with the same base.

Answer: 6x12y8

 

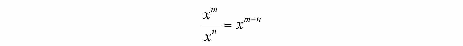
Next, we will develop a rule for division by first looking at the quotient of 27 and 23.

Here we can cancel factors after applying the definition of exponents. Notice that the same result can be obtained by subtracting the exponents.

This describes the quotient rule for exponentsxmxn=xmn; the quotient of two expressions with the same base can be simplified by subtracting the exponents.. If m and n are positive integers and x0, then

In other words, when you divide two expressions with the same base, subtract the exponents.

 

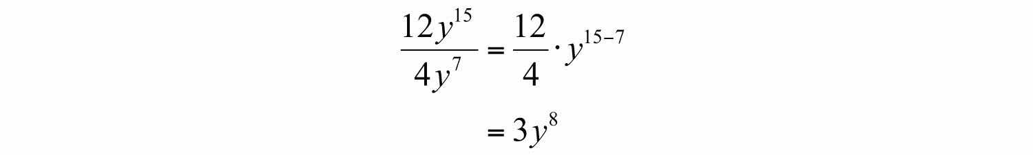
Example 5: Simplify: 12y154y7.

Solution: Divide the coefficients and subtract the exponents of the variable y.

Answer: 3y8

 

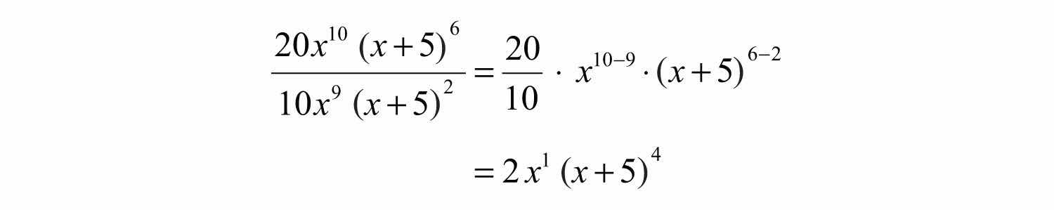
Example 6: Simplify: 20x10(x+5)610x9(x+5)2.

Solution:

Answer: 2x(x+5)4

 

Now raise 23 to the fourth power as follows:

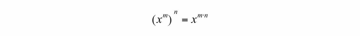
After writing the base 23 as a factor four times, expand to obtain 12 factors of 2. We can obtain the same result by multiplying the exponents.

In general, this describes the power rule for exponents(xm)n=xmn; a power raised to a power can be simplified by multiplying the exponents.. Given positive integers m and n, then

In other words, when raising a power to a power, multiply the exponents.

 

Example 7: Simplify: (y6)7.

Solution:

Answer: y42

 

To summarize, we have developed three very useful rules of exponents that are used extensively in algebra. If given positive integers m and n, then

Product rule: xmxn=xm+n
Quotient rule: xmxn=xmn,x0
Power rule: (xm)n=xmn

 

Try this! Simplify: y5(y4)6.

Answer: y29

Video Solution

(click to see video)

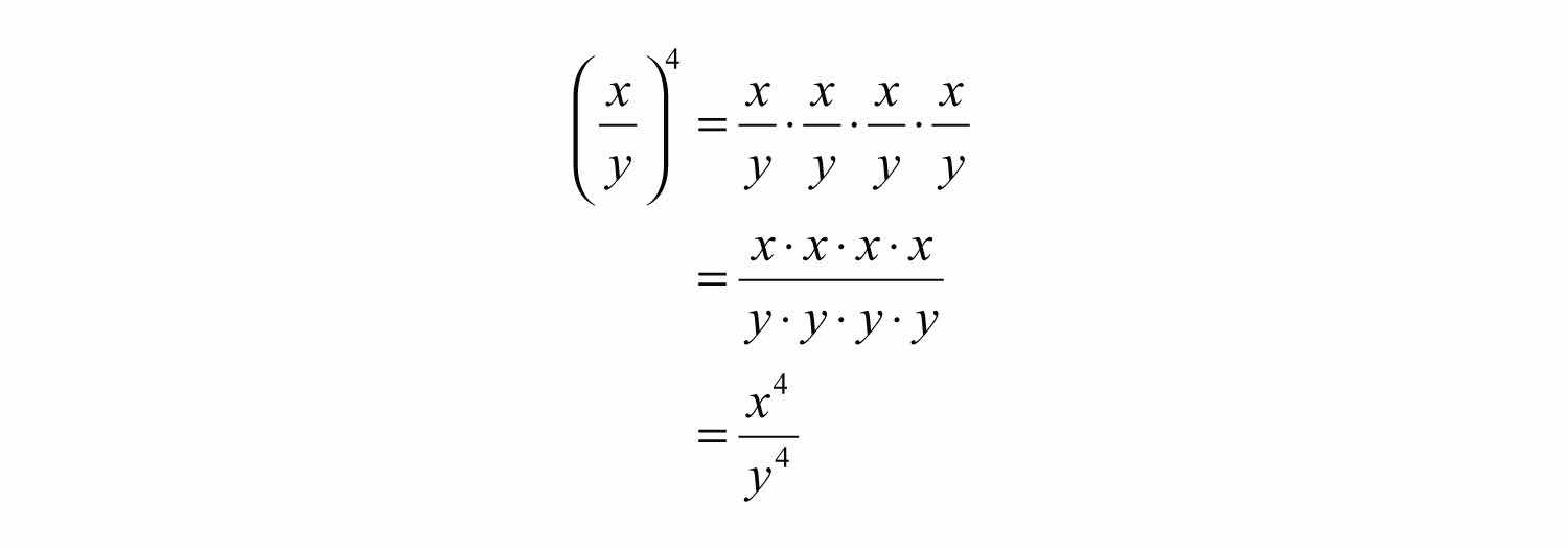
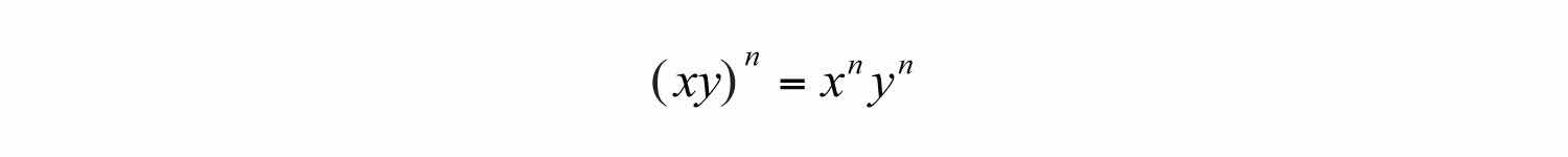
Power Rules for Products and Quotients

Now we consider raising grouped products to a power. For example,

After expanding, we have four factors of the product xy. This is equivalent to raising each of the original factors to the fourth power. In general, this describes the power rule for a product(xy)n=xnyn; if a product is raised to a power, then apply that power to each factor in the product.. If n is a positive integer, then

 

Example 8: Simplify: (2ab)7.

Solution: We must apply the exponent 7 to all the factors, including the coefficient, 2.

If a coefficient is raised to a relatively small power, then present the real number equivalent, as we did in this example: 27=128.

Answer: 128a7b7

 

In many cases, the process of simplifying expressions involving exponents requires the use of several rules of exponents.

 

Example 9: Simplify: (3xy3)4.

Solution:

Answer: 81x4y12

 

Example 10: Simplify: (4x2y5z)3.

Solution:

Answer: 64x6y15z3

 

Example 11: Simplify: [5( x+y)3]3.

Solution:

Answer: 125(x+y)9

 

Next, consider a quotient raised to a power.

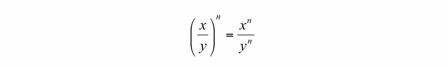
Here we obtain four factors of the quotient, which is equivalent to the numerator and the denominator both raised to the fourth power. In general, this describes the power rule for a quotient(xy)n=xnyn; if a quotient is raised to a power, then apply that power to the numerator and the denominator.. If n is a positive integer and y0, then

In other words, given a fraction raised to a power, we can apply that exponent to the numerator and the denominator. This rule requires that the denominator is nonzero. We will make this assumption for the remainder of the section.

 

Example 12: Simplify: (3ab)3.

Solution: First, apply the power rule for a quotient and then the power rule for a product.

Answer: 27a3b3

 

In practice, we often combine these two steps by applying the exponent to all factors in the numerator and the denominator.

 

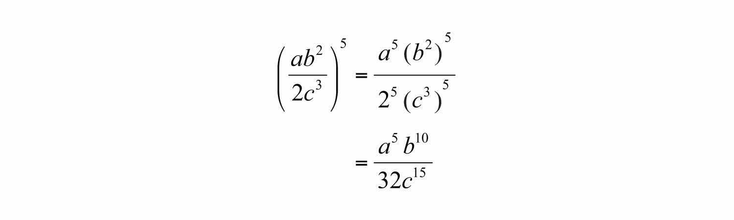
Example 13: Simplify: (a b 22 c 3)5.

Solution: Apply the exponent 5 to all of the factors in the numerator and the denominator.

Answer:  a5b1032c15

 

Example 14: Simplify: (5 x 5 ( 2x1 ) 43 y 7)2.

Solution:

Answer: 25x10(2x1)89y14

 

It is a good practice to simplify within parentheses before using the power rules; this is consistent with the order of operations.

 

Example 15: Simplify: (2 x 3 y 4zx y 2)4.

Solution:

Answer: 16x8y8z4

 

To summarize, we have developed two new rules that are useful when grouping symbols are used in conjunction with exponents. If given a positive integer n, where y is a nonzero number, then

Power rule for a product: (xy)n=xnyn
Power rule for a quotient: (xy)n=xnyn

 

Try this! Simplify: (4 x 2 ( xy ) 33y z 5)3.

Answer: 64x6(xy)927y3z15

Video Solution

(click to see video)

Zero as an Exponent

Using the quotient rule for exponents, we can define what it means to have 0 as an exponent. Consider the following calculation:

Eight divided by 8 is clearly equal to 1, and when the quotient rule for exponents is applied, we see that a 0 exponent results. This leads us to the definition of zero as an exponentx0=1; any nonzero base raised to the 0 power is defined to be 1., where x0:

It is important to note that 00 is undefined. If the base is negative, then the result is still +1. In other words, any nonzero base raised to the 0 power is defined to be 1. In the following examples, assume all variables are nonzero.

 

Example 16: Simplify:

a. (5)0

b. 50

Solution:

a. Any nonzero quantity raised to the 0 power is equal to 1.

b. In the example 50, the base is 5, not −5.

Answers: a. 1; b. −1

 

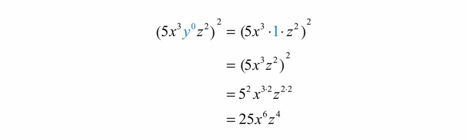
Example 17: Simplify: (5x3y0z2)2.

Solution: It is good practice to simplify within the parentheses first.

Answer: 25x6z4

 

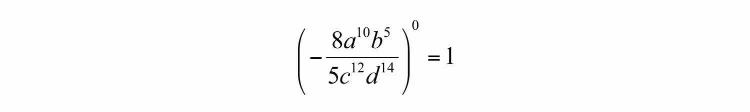
Example 18: Simplify: (8 a 10 b 55 c 12 d 14)0.

Solution:

Answer: 1

 

Try this! Simplify: 5x0 and (5x)0.

Answer: 5x0=5 and (5x)0=1

Video Solution

(click to see video)

Key Takeaways

  • The rules of exponents allow you to simplify expressions involving exponents.
  • When multiplying two quantities with the same base, add exponents: xmxn=xm+n.
  • When dividing two quantities with the same base, subtract exponents: xmxn=xmn.
  • When raising powers to powers, multiply exponents: (xm)n=xmn.
  • When a grouped quantity involving multiplication and division is raised to a power, apply that power to all of the factors in the numerator and the denominator: (xy)n=xnyn and (xy)n=xnyn.
  • Any nonzero quantity raised to the 0 power is defined to be equal to 1: x0=1.

Topic Exercises

Part A: Product, Quotient, and Power Rule for Exponents

Write each expression using exponential form.

1. (2x)(2x)(2x)(2x)(2x)

2. (3y)(3y)(3y)

3. 10aaaaaaa

4. 12xxyyyyyy

5. 6(x1)(x1)(x1)

6. (9ab)(9ab)(9ab)(a2b)(a2b)

Simplify.

7. 2725

8. 393

9. 24

10. (2)4

11. 33

12. (3)4

13. 1013105104

14. 10810710

15. 51252

16. 10710

17. 1012109

18. (73)5

19. (48)4

20. 106(105)4

Simplify.

21. (x)6

22. a5(a)2

23. x3x5x

24. y5y4y2

25. (a5)2(a3)4a

26. (x+1)4(y5)4y2

27. (x+1)5(x+1)8

28. (2ab)12(2ab)9

29. (3x1)5(3x1)2

30. (a5)37(a5)13

31. xy2x2y

32. 3x2y37xy5

33. 8a2b2ab

34. 3ab2c39a4b5c6

35. 2a2b4c (3abc)

36. 5a2(b3)3c3(2)2a3(b2)4

37. 2x2(x+y)53x5(x+y)4

38. 5xy6(2x1)6x5y(2x1)3

39. x2yxy3x5y5

40. 2x10y3x2y125xy3

41. 32x4y2z3xy4z4

42. (x2)3(x3)2(x4)3

43. a10( a 6)3a3

44. 10x9( x 3)52x5

45. a6b3a2b2

46. m10n7m3n4

47. 20x5y12z310x2y10z

48. 24a16b12c36a6b11c

49. 16 x4(x+2)34x(x+2)

50. 50y2(x+y)2010y(x+y)17

Part B: Power Rules for Products and Quotients

Simplify.

51. (2x)5

52. (3y)4

53. (xy)3

54. (5xy)3

55. (4abc)2

56. (72x)2

57. (53y)3

58. (3abc)3

59. (2xy3z)4

60. (5y(2x1)x)3

61. (3x2)3

62. (2x3)2

63. (xy5)7

64. (x2y10)2

65. (3x2y)3

66. (2x2y3z4)5

67. (7ab4c2)2

68. [x5y4( x+y)4]5

69. [2y( x+1)5]3

70. (a b 3)3

71. (5 a 23b)4

72. (2 x 33 y 2)2

73. ( x 2 y 3)3

74. (a b 23 c 3 d 2)4

75. (2 x 7y ( x1 ) 3 z 5)6

76. (2x4)3(x5)2

77. (x3y)2(xy4)3

78. (2a2b3)2(2a5b)4

79. (a2b)3(3ab4)4

80. (2x3( x+y)4)5(2x4( x+y)2)3

81. (3 x 5 y 4x y 2)3

82. (3 x 5 y 4x y 2)2

83. (25 x 10 y 155 x 5 y 10)3

84. (10 x 3 y 55x y 2)2

85. (24a b 36bc)5

86. (2 x 3y16 x 2y)2

87. (30a b 33abc)3

88. (3 s 3 t 22 s 2t)3

89. (6x y 5 ( x+y ) 63 y 2z ( x+y ) 2)5

90. (64 a 5 b 12 c 2 ( 2ab1 ) 1432 a 2 b 10 c 2 ( 2ab1 ) 7)4

91. The probability of tossing a fair coin and obtaining n heads in a row is given by the formula P=(12)n. Determine the probability, as a percent, of tossing 5 heads in a row.

92. The probability of rolling a single fair six-sided die and obtaining n of the same faces up in a row is given by the formula P=(16)n. Determine the probability, as a percent, of obtaining the same face up two times in a row.

93. If each side of a square measures 2x3 units, then determine the area in terms of the variable x.

94. If each edge of a cube measures 5x2 units, then determine the volume in terms of the variable x.

Part C: Zero Exponents

Simplify. (Assume variables are nonzero.)

95. 70

96. (7)0

97. 100

98. 30(7)0

99. 86753090

100. 523023

101. 30(2)2(3)0

102. 5x0y2

103. (3)2x2y0z5

104. 32(x3)2y2(z3)0

105. 2x3y0z3x0y3z5

106. 3ab2c03a2(b3c2)0

107. (8xy2)0

108. (2 x 2 y 3)0

109. 9x0y43y3

Part D: Discussion Board Topics

110. René Descartes (1637) established the usage of exponential form: a2, a3, and so on. Before this, how were exponents denoted?

111. Discuss the accomplishments accredited to Al-Karismi.

112. Why is 00 undefined?

113. Explain to a beginning student why 343296.

Answers

1: (2x)5

3: 10a7

5: 6(x1)3

7: 212

9: −16

11: −27

13: 1022

15: 510

17: 103

19: 432

21: x6

23: x9

25: a23

27: (x+1)13

29: (3x1)3

31: x3y3

33: 16a3b2

35: 6a3b5c2

37: 6x7(x+y)9

39: x8y9

41: 27x5y6z5

43: a25

45: a4b

47: 2x3y2z2

49: 4x3(x+2)2

51: 32x5

53: x3y3

55: 16a2b2c2

57: 12527y3

59: 16x4y481z4

61: 27x6

63: x7y35

65: 27x6y3

67: 49a2b8c4

69: 8y3(x+1)15

71: 625a881b4

73: x6y9

75: 64x42y6(x1)18z30

77: x9y14

79: 81a10b19

81: 27x12y6

83: 125x15y15

85: 1024a5b10c5

87: 1000b6c3

89: 32x5y15(x+y)20z5

91: 318%

93: A=4x6

95: 1

97: −1

99: 1

101: −4

103: 9x2z5

105: 6x3y3z6

107: 1

109: 3y