5.6 Negative Exponents

Learning Objectives

  1. Simplify expressions with negative integer exponents.
  2. Work with scientific notation.

Negative Exponents

In this section, we define what it means to have negative integer exponents. We begin with the following equivalent fractions:

Notice that 4, 8, and 32 are all powers of 2. Hence we can write 4=22, 8=23, and 32=25.

If the exponent of the term in the denominator is larger than the exponent of the term in the numerator, then the application of the quotient rule for exponents results in a negative exponent. In this case, we have the following:

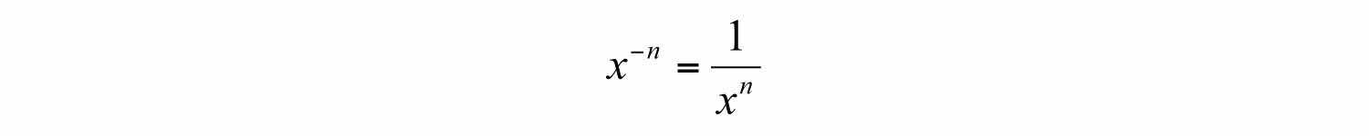
We conclude that 23=123. This is true in general and leads to the definition of negative exponentsxn=1xn, given any integer n, where x is nonzero.. Given any integer n and x0, then

Here x0 because 10 is undefined. For clarity, in this section, assume all variables are nonzero.

Simplifying expressions with negative exponents requires that we rewrite the expression with positive exponents.

 

Example 1: Simplify: 102.

Solution:

Answer: 1100

 

Example 2: Simplify: (3)1.

Solution:

Answer: 13

 

Example 3: Simplify: 1y3.

Solution:

Answer: y3

 

At this point we highlight two very important examples,

If the grouped quantity is raised to a negative exponent, then apply the definition and write the entire grouped quantity in the denominator. If there is no grouping, then apply the definition only to the base preceding the exponent.

 

Example 4: Simplify: (2ab)3.

Solution: First, apply the definition of −3 as an exponent and then apply the power of a product rule.

Answer: 18a3b3

 

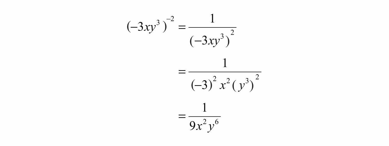
Example 5: Simplify: (3xy3)2.

Solution:

Answer: 19x2y6

 

Example 6: Simplify: x3y4.

Solution:

Answer: y4x3

 

The previous example suggests a property of quotients with negative exponentsxnym=ymxn, given any integers m and n, where x0 and y0.. If given any integers m and n, where x0 and y0, then

In other words, negative exponents in the numerator can be written as positive exponents in the denominator, and negative exponents in the denominator can be written as positive exponents in the numerator.

 

Example 7: Simplify: 2x5y3z2.

Solution: Take care with the coefficient −2; recognize that this is the base and that the exponent is actually +1: 2=(2)1. Hence the rules of negative exponents do not apply to this coefficient; leave it in the numerator.

Answer: 2y3z2x5

 

Example 8: Simplify: (3 x 4)3y2.

Solution: Apply the power of a product rule before applying negative exponents.

Answer: x12y227

 

Example 9: Simplify: (3 x 2)4(2 y 1 z 3)2.

Solution:

Answer: 4z681x8y2

 

Example 10: Simplify: (5 x 2y)3x5y3.

Solution: First, apply the power of a product rule and then the quotient rule.

Answer: 125x11y6

 

To summarize, we have the following rules for negative integer exponents with nonzero bases:

Negative exponents: xn=1xn
Quotients with negative exponents: xnym=ymxn

 

Try this! Simplify: (5x y 3)25x4y4.

Answer: y10125x6

Video Solution

(click to see video)

Scientific Notation

Real numbers expressed in scientific notationReal numbers expressed in the form a×10n, where n is an integer and 1a<10. have the form

where n is an integer and 1a<10. This form is particularly useful when the numbers are very large or very small. For example,

It is cumbersome to write all the zeros in both of these cases. Scientific notation is an alternative, compact representation of these numbers. The factor 10n indicates the power of 10 to multiply the coefficient by to convert back to decimal form:

This is equivalent to moving the decimal in the coefficient fifteen places to the right. A negative exponent indicates that the number is very small:

This is equivalent to moving the decimal in the coefficient eleven places to the left.

Converting a decimal number to scientific notation involves moving the decimal as well. Consider all of the equivalent forms of 0.00563 with factors of 10 that follow:

While all of these are equal, 5.63×103 is the only form considered to be expressed in scientific notation. This is because the coefficient 5.63 is between 1 and 10 as required by the definition. Notice that we can convert 5.63×103 back to decimal form, as a check, by moving the decimal to the left three places.

 

Example 11: Write 1,075,000,000,000 using scientific notation.

Solution: Here we count twelve decimal places to the left of the decimal point to obtain the number 1.075.

Answer: 1.075×1012

 

Example 12: Write 0.000003045 using scientific notation.

Solution: Here we count six decimal places to the right to obtain 3.045.

Answer: 3.045×106

 

Often we will need to perform operations when using numbers in scientific notation. All the rules of exponents developed so far also apply to numbers in scientific notation.

 

Example 13: Multiply: (4.36×105)(5.3×1012).

Solution: Use the fact that multiplication is commutative and apply the product rule for exponents.

Answer: 2.3108×108

 

Example 14: Divide: (3.24×108)÷(9.0×103).

Solution:

Answer: 3.6×1010

 

Example 15: The speed of light is approximately 6.7×108 miles per hour. Express this speed in miles per second.

Solution: A unit analysis indicates that we must divide the number by 3,600.

Answer: The speed of light is approximately 1.9×105 miles per second.

 

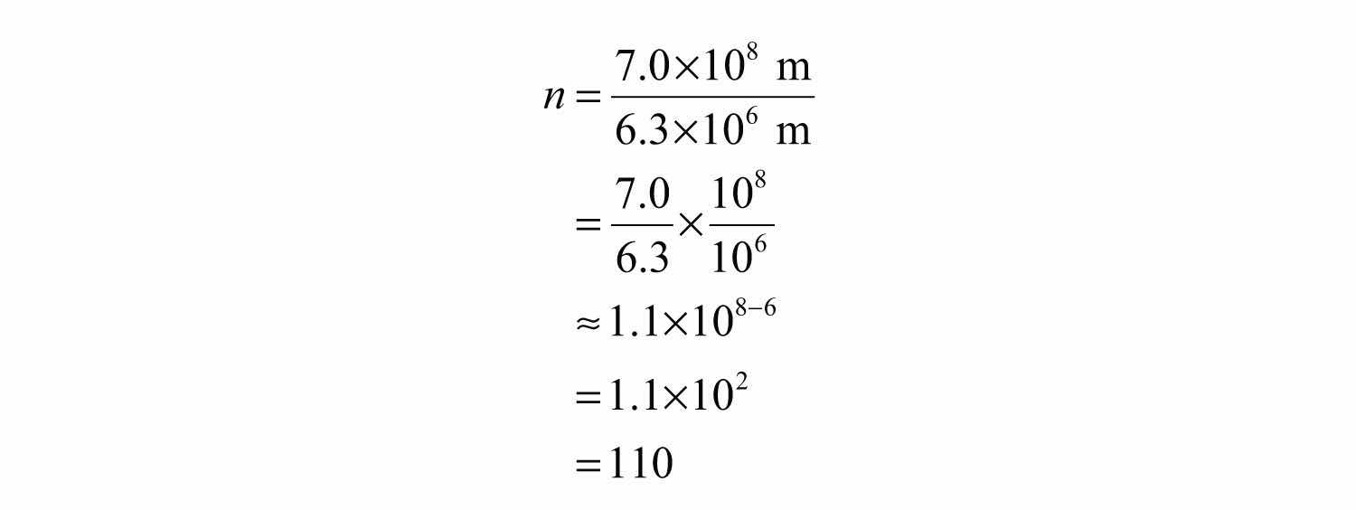
Example 16: By what factor is the radius of the sun larger than the radius of earth?

Solution: We want to find the number that when multiplied times the radius of earth equals the radius of the sun.

Therefore,

Answer: The radius of the sun is approximately 110 times that of earth.

 

Try this! Divide: (6.75×108)÷(9×1017).

Answer: 7.5×108

Video Solution

(click to see video)

Key Takeaways

  • Expressions with negative exponents in the numerator can be rewritten as expressions with positive exponents in the denominator.
  • Expressions with negative exponents in the denominator can be rewritten as expressions with positive exponents in the numerator.
  • Take care to distinguish negative coefficients from negative exponents.
  • Scientific notation is particularly useful when working with numbers that are very large or very small.

Topic Exercises

Part A: Negative Exponents

Simplify. (Assume variables are nonzero.)

1. 51

2. 52

3. (7)1

4. 71

5. 123

6. 532

7. (35)2

8. (12)5

9. (23)4

10. (13)3

11. x4

12. y1

13. 3x5

14. (3x)5

15. 1y3

16. 52x1

17. x1y2

18. 1(xy)4

19. x2y3z5

20. xy3

21. (ab)1

22. 1(ab)1

23. 5x3y2z4

24. 32x3y5z

25. 3x4y22x1y3

26. 10a2b32a8b10

27. (2a3)2

28. (3x2)1

29. (5a2b3c)2

30. (7r3s5t)3

31. (2r2s0t3)1

32. (2xy3z2)3

33. (5a2b3c0)4

34. (x2y3z4)7

35. (12 x 3)5

36. (2x y 2)2

37. (x2 y 1)4

38. (3 a 2b c 5)5

39. (20 x 3 y 25y z 1)1

40. (4 r 5 s 3 t 42 r 3s t 0)3

41. (2x y 3 z 1 y 2 z 3)3

42. (3 a 2bca b 0 c 4)2

43. (xyz x 4 y 2 z 3)4

44. (125 x 3 y 4 z 55 x 2 y 4 ( x+y ) 3)0

45. (xn)2

46. ( x n y n)2

The value in dollars of a new MP3 player can be estimated by using the formula V=100(t+1)1, where t is the number of years after purchase.

47. How much was the MP3 player worth new?

48. How much will the MP3 player be worth in 1 year?

49. How much will the MP3 player be worth in 4 years?

50. How much will the MP3 player be worth in 9 years?

51. How much will the MP3 player be worth in 99 years?

52. According to the formula, will the MP3 ever be worthless? Explain.

Part B: Scientific Notation

Convert to a decimal number.

53. 9.3×109

54. 1.004×104

55. 6.08×1010

56. 3.042×107

57. 4.01×107

58. 1.0×1010

59. 9.9×103

60. 7.0011×105

Rewrite using scientific notation.

61. 500,000,000

62. 407,300,000,000,000

63. 9,740,000

64. 100,230

65. 0.0000123

66. 0.000012

67. 0.000000010034

68. 0.99071

Perform the indicated operations.

69. (3×105)(9×104)

70. (8×1022)(2×1012)

71. (2.1×1019)(3.0×108)

72. (4.32×107)(1.50×1018)

73. 9.12×1093.2×1010

74. 1.15×1092.3×1011

75. 1.004×1082.008×1014

76. 3.276×10255.2×1015

77. 59,000,000,000,000 × 0.000032

78. 0.0000000000432 × 0.0000000000673

79. 1,030,000,000,000,000,000 ÷ 2,000,000

80. 6,045,000,000,000,000 ÷ 0.00000005

81. The population density of earth refers to the number of people per square mile of land area. If the total land area on earth is 5.751×107 square miles and the population in 2007 was estimated to be 6.67×109 people, then calculate the population density of earth at that time.

82. In 2008 the population of New York City was estimated to be 8.364 million people. The total land area is 305 square miles. Calculate the population density of New York City.

83. The mass of earth is 5.97×1024 kilograms and the mass of the moon is 7.35×1022 kilograms. By what factor is the mass of earth greater than the mass of the moon?

84. The mass of the sun is 1.99×1030 kilograms and the mass of earth is 5.97×1024 kilograms. By what factor is the mass of the sun greater than the mass of earth? Express your answer in scientific notation.

85. The radius of the sun is 4.322×105 miles and the average distance from earth to the moon is 2.392×105 miles. By what factor is the radius of the sun larger than the average distance from earth to the moon?

86. One light year, 9.461×1015 meters, is the distance that light travels in a vacuum in one year. If the distance to the nearest star to our sun, Proxima Centauri, is estimated to be 3.991×1016 meters, then calculate the number of years it would take light to travel that distance.

87. It is estimated that there are about 1 million ants per person on the planet. If the world population was estimated to be 6.67 billion people in 2007, then estimate the world ant population at that time.

88. The sun moves around the center of the galaxy in a nearly circular orbit. The distance from the center of our galaxy to the sun is approximately 26,000 light years. What is the circumference of the orbit of the sun around the galaxy in meters?

89. Water weighs approximately 18 grams per mole. If one mole is about 6×1023 molecules, then approximate the weight of each molecule of water.

90. A gigabyte is 1×109 bytes and a megabyte is 1×106 bytes. If the average song in the MP3 format consumes about 4.5 megabytes of storage, then how many songs will fit on a 4-gigabyte memory card?

Answers

1: 15

3: 17

5: 8

7: 259

9: 8116

11: 1x4

13: 3x5

15: y3

17: y2x

19: x2z5y3

21: 1ab

23: 5y2x3z4

25: 6y5x5

27: a64

29: b625a4c2

31: t32r2

33: 625a8b12

35: 32x15

37: 16x4y4

39: x34yz

41: z128x3y3

43: x12z8y12

45: 1x2n

47: $100

49: $20

51: $1

53: 9,300,000,000

55: 60,800,000,000

57: 0.000000401

59: 0.0099

61: 5×108

63: 9.74×106

65: 1.23×105

67: 1.0034×108

69: 2.7×1010

71: 6.3×1011

73: 2.85×1019

75: 5×105

77: 1.888×109

79: 5.15×1011

81: About 116 people per square mile

83: 81.2

85: 1.807

87: 6.67×1015 ants

89: 3×1023 grams