7.1 Simplifying Rational Expressions

Learning Objectives

  1. Determine the restrictions to the domain of a rational expression.
  2. Simplify rational expressions.
  3. Simplify expressions with opposite binomial factors.
  4. Simplify and evaluate rational functions.

Rational Expressions, Evaluating, and Restrictions

A rational number, or fraction a b, is a real number defined as a quotient of two integers a and b, where b0. Similarly, we define a rational expressionThe quotient PQ of two polynomials P and Q, where Q ≠ 0., or algebraic fractionTerm used when referring to a rational expression. PQ, as the quotient of two polynomials P and Q, where Q0. Some examples of rational expressions follow:

The example x+3x5 consists of linear expressions in both the numerator and denominator. Because the denominator contains a variable, this expression is not defined for all values of x.

 

Example 1: Evaluate x+3x5 for the set of x-values {−3, 4, 5}.

Solution: Substitute the values in for x.

Answer: When x=3, the value of the rational expression is 0; when x=4, the value of the rational expression is −7; and when x=5, the value of the rational expression is undefined.

 

This example illustrates that variables are restricted to values that do not make the denominator equal to 0. The domain of a rational expressionThe set of real numbers for which the rational expression is defined. is the set of real numbers for which it is defined, and restrictionsThe set of real numbers for which a rational expression is not defined. are the real numbers for which the expression is not defined. We often express the domain of a rational expression in terms of its restrictions.

 

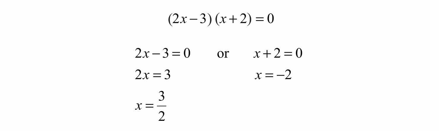
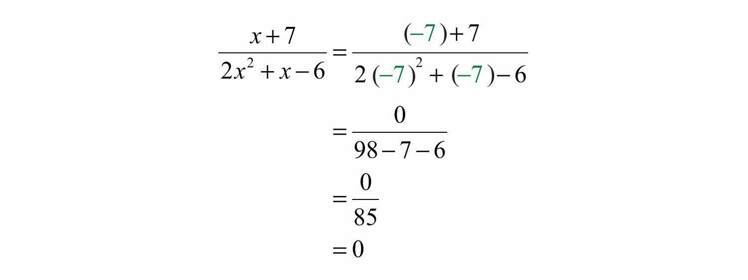
Example 2: Find the domain of the following: x+72x2+x6.

Solution: In this example, the numerator x+7 is a linear expression and the denominator 2x2+x6 is a quadratic expression. If we factor the denominator, then we will obtain an equivalent expression.

Because rational expressions are undefined when the denominator is 0, we wish to find the values for x that make it 0. To do this, apply the zero-product property. Set each factor in the denominator equal to 0 and solve.

We conclude that the original expression is defined for any real number except 3/2 and −2. These two values are the restrictions to the domain.

It is important to note that −7 is not a restriction to the domain because the expression is defined as 0 when the numerator is 0.

Answer: The domain consists of any real number x, where x32 and x2.

 

We can express the domain of the previous example using notation as follows:

The restrictions to the domain of a rational expression are determined by the denominator. Ignore the numerator when finding those restrictions.

 

Example 3: Determine the domain: x4+x32x2xx21.

Solution: To find the restrictions to the domain, set the denominator equal to 0 and solve:

These two values cause the denominator to be 0. Hence they are restricted from the domain.

Answer: The domain consists of any real number x, where x±1.

 

Example 4: Determine the domain: x2254.

Solution: There is no variable in the denominator and thus no restriction to the domain.

Answer: The domain consists of all real numbers, R.

Simplifying Rational Expressions

When simplifying fractions, look for common factors that cancel. For example,

We say that the fraction 12/60 is equivalent to 1/5. Fractions are in simplest form if the numerator and denominator share no common factor other than 1. Similarly, when working with rational expressions, look for factors to cancel. For example,

The resulting rational expression is equivalent if it shares the same domain. Therefore, we must make note of the restrictions and write

In words, x+4(x3)(x+4) is equivalent to 1x3, if x3 and x4. We can verify this by choosing a few values with which to evaluate both expressions to see if the results are the same. Here we choose x=7 and evaluate as follows:

It is important to state the restrictions before simplifying rational expressions because the simplified expression may be defined for restrictions of the original. In this case, the expressions are not equivalent. Here −4 is defined for the simplified equivalent but not for the original, as illustrated below:

 

Example 5: Simplify and state the restriction: 25x215x3.

Solution: In this example, the expression is undefined when x is 0.

Therefore, the domain consists of all real numbers x, where x0. With this understanding, we can cancel common factors.

Answer: 53x, where x0

 

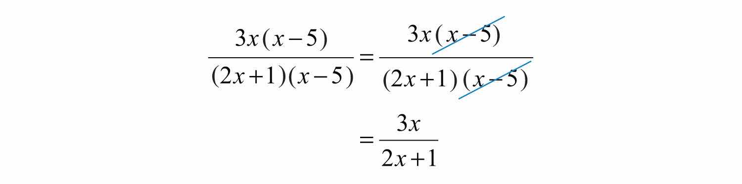
Example 6: State the restrictions and simplify: 3x(x5)(2x+1)(x5).

Solution: To determine the restrictions, set the denominator equal to 0 and solve.

The domain consists of all real numbers except for −1/2 and 5. Next, we find an equivalent expression by canceling common factors.

Answer: 3x2x+1, where x12 and x5

 

Typically, rational expressions are not given in factored form. If this is the case, factor first and then cancel. The steps are outlined in the following example.

 

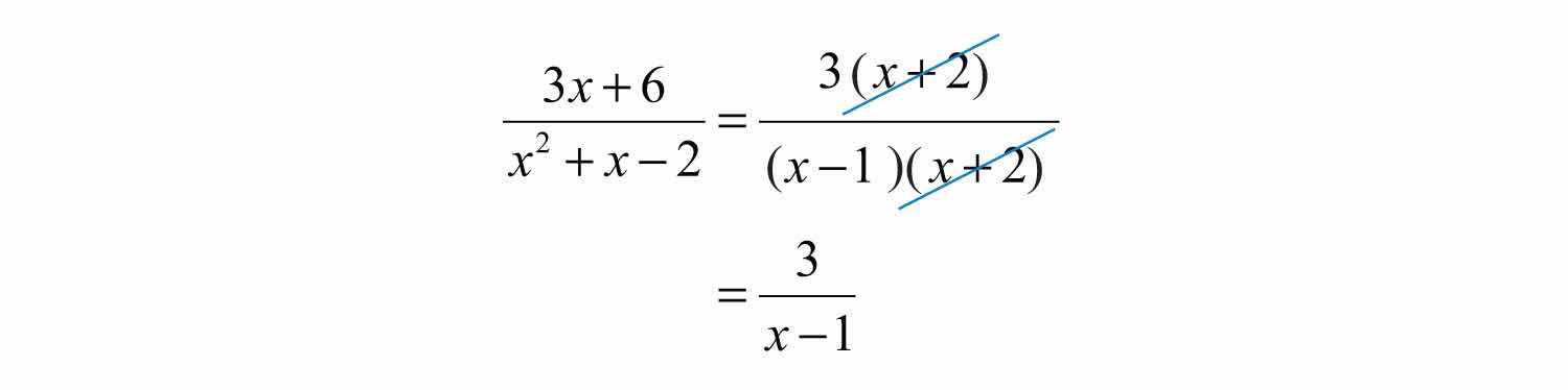
Example 7: State the restrictions and simplify: 3x+6x2+x2.

Solution:

Step 1: Completely factor the numerator and denominator.

Step 2: Determine the restrictions to the domain. To do this, set the denominator equal to 0 and solve.

The domain consists of all real numbers except −2 and 1.

Step 3: Cancel common factors, if any.

Answer: 3x1, where x1 and x2

 

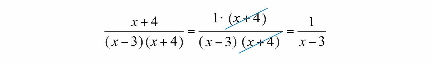
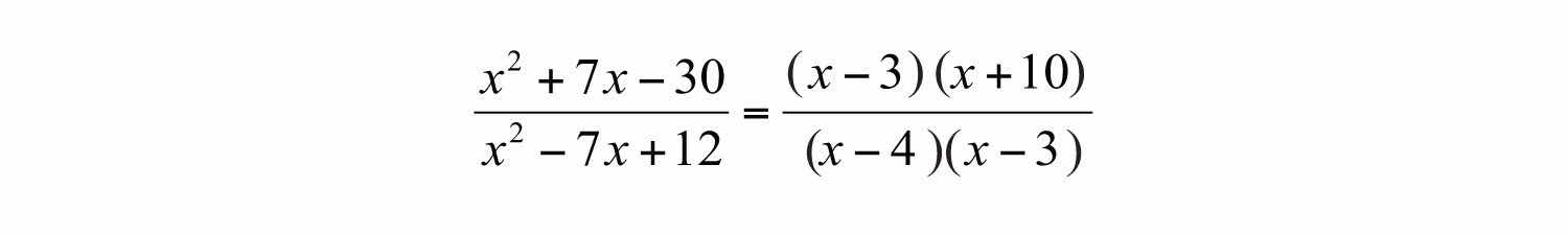
Example 8: State the restrictions and simplify: x2+7x30x27x+12.

Solution: First, factor the numerator and denominator.

Any value of x that results in a value of 0 in the denominator is a restriction. By inspection, we determine that the domain consists of all real numbers except 4 and 3. Next, cancel common factors.

Answer: x+10x4, where x3 and x4

 

It is important to remember that we can only cancel factors of a product. A common mistake is to cancel terms. For example,

 

Try this! State the restrictions and simplify: x2165x220x.

Answer: x+45x, where x0 and x4

Video Solution

(click to see video)

In some examples, we will make a broad assumption that the denominator is nonzero. When we make that assumption, we do not need to determine the restrictions.

 

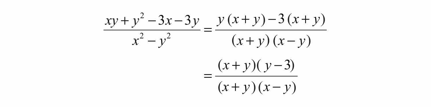
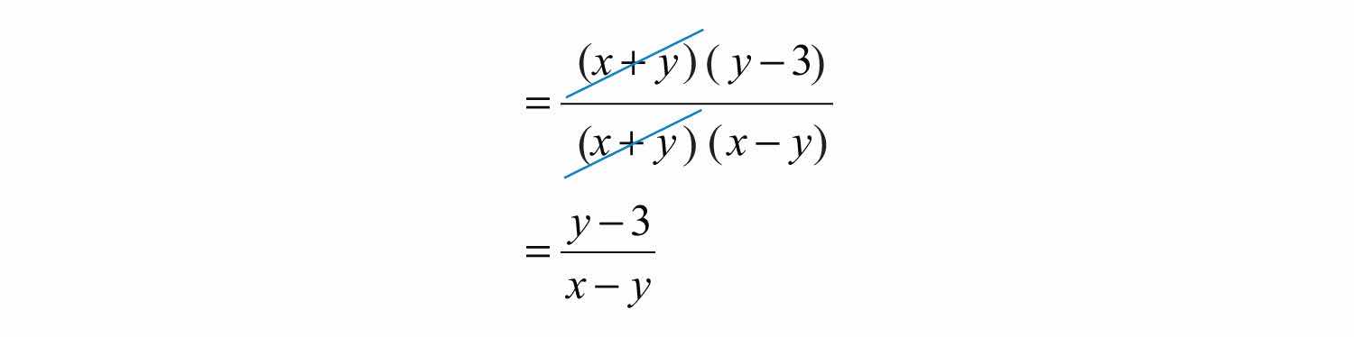
Example 9: Simplify: xy+y23x3yx2y2. (Assume all denominators are nonzero.)

Solution: Factor the numerator by grouping. Factor the denominator using the formula for a difference of squares.

Next, cancel common factors.

Answer: y3xy

Opposite Binomial Factors

Recall that the opposite of the real number a is −a. Similarly, we can define the opposite of a polynomial P to be −P. We first consider the opposite of the binomial ab:

This leads us to the opposite binomial propertyIf given a binomial ab, then the opposite is (ab)=ba.:

This is equivalent to factoring out a –1.

If ab, then we can divide both sides by (ab) and obtain the following:

 

Example 10: State the restrictions and simplify: 3xx3.

Solution: By inspection, we can see that the denominator is 0 if x=3. Therefore, 3 is the restriction to the domain. Apply the opposite binomial property to the numerator and then cancel.

Answer: 3xx3=1, where x3

 

Since addition is commutative, we have

or

Take care not to confuse this with the opposite binomial property. Also, it is important to recall that

In other words, show a negative fraction by placing the negative sign in the numerator, in front of the fraction bar, or in the denominator. Generally, negative denominators are avoided.

 

Example 11: Simplify and state the restrictions: 4x2x2+3x10.

Solution: Begin by factoring the numerator and denominator.

Answer: x+2x+5, where x2 and x5

 

Try this! Simplify and state the restrictions: 2x27x1525x2.

Answer: 2x+3x+5, where x±5

Video Solution

(click to see video)

Rational Functions

Rational functions have the form

where p(x) and q(x) are polynomials and q(x)0. The domain of a rational function consists of all real numbers x such that the denominator q(x)0.

 

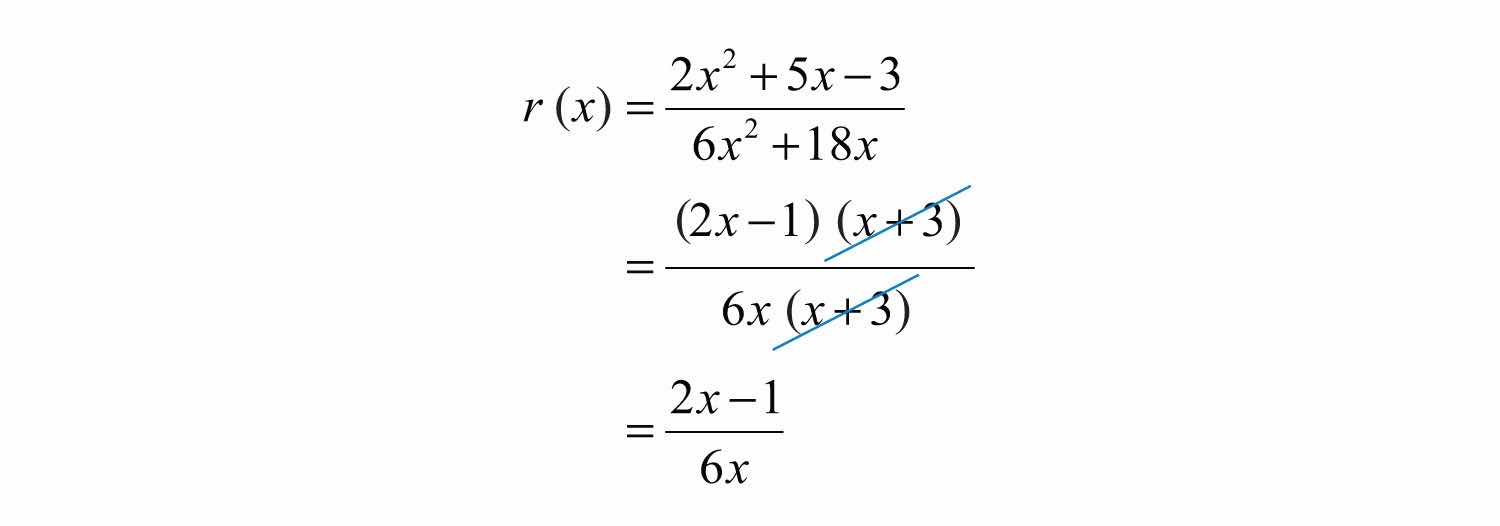
Example 12:

a. Simplify: r(x)=2x2+5x36x2+18x.

b. State the domain.

c. Calculate r(2).

Solution:

a. To simplify the rational function, first factor and then cancel.

b. To determine the restrictions, set the denominator of the original function equal to 0 and solve.

The domain consists of all real numbers x, where x0 and x3.

c. Since −2 is not a restriction, substitute it for the variable x using the simplified form.

Answers:

a. r(x)=2x16x

b. The domain is all real numbers except 0 and −3.

c. r(2)=512

 

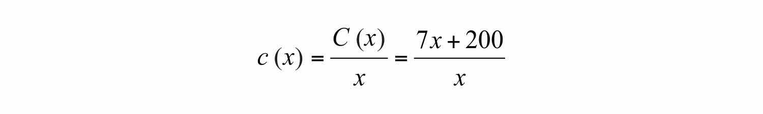
If a cost functionA function that represents the cost of producing a certain number of units. C(x) represents the cost of producing x units, then the average costThe total cost divided by the number of units produced, which can be represented by c(x)=C(x)x, where C(x) is a cost function. c(x) is the cost divided by the number of units produced.

 

Example 13: The cost in dollars of producing t-shirts with a company logo is given by C(x)=7x+200, where x represents the number of shirts produced. Determine the average cost of producing

a. 40 t-shirts

b. 250 t-shirts

c. 1,000 t-shirts

Solution: Set up a function representing the average cost.

Next, calculate c(40), c(250), and c(1000).

Answers:

a. If 40 t-shirts are produced, then the average cost per t-shirt is $12.00.

b. If 250 t-shirts are produced, then the average cost per t-shirt is $7.80.

c. If 1,000 t-shirts are produced, then the average cost per t-shirt is $7.20.

Key Takeaways

  • Rational expressions usually are not defined for all real numbers. The real numbers that give a value of 0 in the denominator are not part of the domain. These values are called restrictions.
  • Simplifying rational expressions is similar to simplifying fractions. First, factor the numerator and denominator and then cancel the common factors. Rational expressions are simplified if there are no common factors other than 1 in the numerator and the denominator.
  • Simplified rational expressions are equivalent for values in the domain of the original expression. Be sure to state the restrictions if the denominators are not assumed to be nonzero.
  • Use the opposite binomial property to cancel binomial factors that involve subtraction. Use (ab)=ba to replace factors that will then cancel. Do not confuse this with factors that involve addition, such as (a+b)=(b+a).

Topic Exercises

Part A: Rational Expressions

Evaluate for the given set of x-values.

1. 5x; {−1, 0, 1}

2. 4x3x2; {−1, 0, 1}

3. 1x+9; {−10, −9, 0}

4. x+6x5; {−6, 0, 5}

5. 3x(x2)2x1; {0, 1/2, 2}

6. 9x21x7; {0, 1/3, 7}

7. 5x29; {−3, 0, 3}

8. x225x23x10; {−5, −4, 5}

9. Fill in the following chart:

10. Fill in the following chart:

11. Fill in the following chart:

12. Fill in the following chart:

An object’s weight depends on its height above the surface of earth. If an object weighs 120 pounds on the surface of earth, then its weight in pounds, W, x miles above the surface is approximated by the formula W=12040002(4000+x)2

For each problem below, approximate the weight of a 120-pound object at the given height above the surface of earth. (1 mile = 5,280 feet)

13. 100 miles

14. 1,000 miles

15. 44,350 feet

16. 90,000 feet

The price to earnings ratio (P/E) is a metric used to compare the valuations of similar publicly traded companies. The P/E ratio is calculated using the stock price and the earnings per share (EPS) over the previous 12‑month period as follows: P/E=pricepershareearningspershare

If each share of a company stock is priced at $22.40, then calculate the P/E ratio given the following values for the earnings per share.

17. $1.40

18. $1.21

19. What happens to the P/E ratio when earnings decrease?

20. What happens to the P/E ratio when earnings increase?

State the restrictions to the domain.

21. 13x

22. 3x27x5

23. 3x(x+1)x+4

24. 2x2(x3)x1

25. 15x1

26. x23x2

27. x95x(x2)

28. 1(x3)(x+6)

29. x1x2

30. x29x236

31. 12x(x+3)(2x1)

32. x3(3x1)(2x+3)

33. 4x(2x+1)12x2+x1

34. x53x215x

Part B: Simplifying Rational Expressions

State the restrictions and then simplify.

35. 5x220x3

36. 12x660x

37. 3x2(x2)9x(x2)

38. 20(x3)(x5)6(x3)(x+1)

39. 6x2(x8)36x(x+9)(x8)

40. 16x21(4x+1)2

41. 9x26x+1(3x1)2

42. x7x249

43. x264x2+8x

44. x+10x2100

45. 2x312x25x230x

46. 30x5+60x42x38x

47. 2x12x2+x6

48. x2x63x28x3

49. 6x225x+253x2+16x35

50. 3x2+4x15x29

51. x210x+21x24x21

52. x31x21

53. x3+8x24

54. x416x24

Part C: Simplifying Rational Expressions with Opposite Binomial Factors

State the restrictions and then simplify.

55. x99x

56. 3x223x

57. x+66+x

58. 3x+11+3x

59. (2x5)(x7)(7x)(2x1)

60. (3x+2)(x+5)(x5)(2+3x)

61. x24(2x)2

62. 169x2(3x+4)2

63. 4x2(10x)3x3300x

64. 2x+14x349x

65. 2x27x414x2

66. 9x244x6x2

67. x25x14715x+2x2

68. 2x3+x22x11+x2x2

69. x3+2x3x262+x2

70. 27+x3x2+6x+9

71. 64x3x28x+16

72. x2+44x2

Simplify. (Assume all denominators are nonzero.)

73. 15x3y25xy2(x+y)

74. 14x7y2(x2y)47x8y(x2y)2

75. y+xx2y2

76. yxx2y2

77. x2y2(xy)2

78. a2ab6b2a26ab+9b2

79. 2a211a+1232+2a2

80. a2b3a23a23ab

81. xy2x+y3yxxy2

82. x3xy2x2y+y3x22xy+y2

83. x327x2+3x+9

84. x2x+1x3+1

Part D: Rational Functions

Calculate the following.

85. f(x)=5xx3; f(0), f(2), f(4)

86. f(x)=x+7x2+1; f(1), f(0), f(1)

87. g(x)=x3(x2)2; g(0), g(2), g(2)

88. g(x)=x299x2; g(2), g(0), g(2)

89. g(x)=x3x2+1; g(1), g(0), g(1)

90. g(x)=5x+1x225; g(1/5), g(1), g(5)

State the restrictions to the domain and then simplify.

91. f(x)=3x26xx2+4x+4

92. f(x)=x2+6x+92x2+5x3

93. g(x)=9xx281

94. g(x)=x3273x

95. g(x)=3x15102x

96. g(x)=255x4x20

97. The cost in dollars of producing coffee mugs with a company logo is given by C(x)=x+40, where x represents the number of mugs produced. Calculate the average cost of producing 100 mugs and the average cost of producing 500 mugs.

98. The cost in dollars of renting a moving truck for the day is given by C(x)=0.45x+90, where x represents the number of miles driven. Calculate the average cost per mile if the truck is driven 250 miles in one day.

99. The cost in dollars of producing sweat shirts with a custom design on the back is given by C(x)=1200+(120.05x)x, where x represents the number of sweat shirts produced. Calculate the average cost of producing 150 custom sweat shirts.

100. The cost in dollars of producing a custom injected molded part is given by C(x)=500+(30.001x)x, where x represents the number of parts produced. Calculate the average cost of producing 1,000 custom parts.

Part E: Discussion Board

101. Explain why baab=1 and illustrate this fact by substituting some numbers for the variables.

102. Explain why b+aa+b=1 and illustrate this fact by substituting some numbers for the variables.

103. Explain why we cannot cancel x in the expression xx+1.

Answers

1: −5, undefined, 5

3: −1, undefined, 1/9

5: 0, undefined, 0

7: Undefined, −5/9, undefined

9:

11:

13: 114 pounds

15: 119.5 pounds

17: 16

19: The P/E ratio increases.

21: x0

23: x4

25: x15

27: x0 and x2

29: x±1

31: x0, x3, and x12

33: x13 and x14

35: 14x; x0

37: x3; x0, 2

39: x6(x+9); x0,9, 8

41: 1 ; x13

43: x8x; x0,8

45: 2x5; x0, 6

47: 2x12x2+x6; x2,32

49: 2x5x+7; x7,53

51: x3x+3; x3, 7

53: x22x+4x2; x±2

55: −1; x9

57: 1; x6

59: 2x52x1; x12,7

61: x+2x2; x2

63: 4x3(x+10); x±10, 0

65: x412x; x±12

67: x+22x1; x12,7

69: x3; none

71: 16+4x+x2x4; x4

73: 3x2x+y

75: 1xy

77: x+yxy

79: 2a32(4+a)

81: x+yx

83: x3

85: f(0)=0, f(2)=10, f(4)=20

87: g(0)=0, g(2) undefined, g(2)=1/2

89: g(1)=1/2, g(0)=0, g(1)=1/2

91: f(x)=3xx+2; x2

93: g(x)=1x+9; x±9

95: g(x)=32; x5

97: The average cost of producing 100 mugs is $1.40 per mug. The average cost of producing 500 mugs is $1.08 per mug.

99: $12.50