7.3 Adding and Subtracting Rational Expressions

Learning Objectives

  1. Add and subtract rational expressions with common denominators.
  2. Add and subtract rational expressions with unlike denominators.
  3. Add and subtract rational functions.

Adding and Subtracting with Common Denominators

Adding and subtracting rational expressions is similar to adding and subtracting fractions. Recall that if the denominators are the same, we can add or subtract the numerators and write the result over the common denominator.

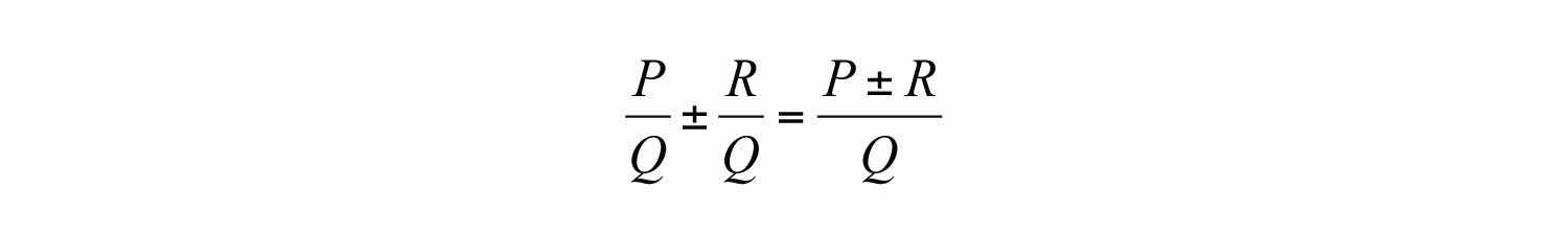
When working with rational expressions, the common denominator will be a polynomial. In general, given polynomials P, Q, and R, where Q0, we have the following:

In this section, assume that all variable factors in the denominator are nonzero.

 

Example 1: Add: 3y+7y.

Solution: Add the numerators 3 and 7, and write the result over the common denominator, y.

Answer: 10y

 

Example 2: Subtract: x52x112x1.

Solution: Subtract the numerators x5 and 1, and write the result over the common denominator, 2x1.

Answer: x62x1

 

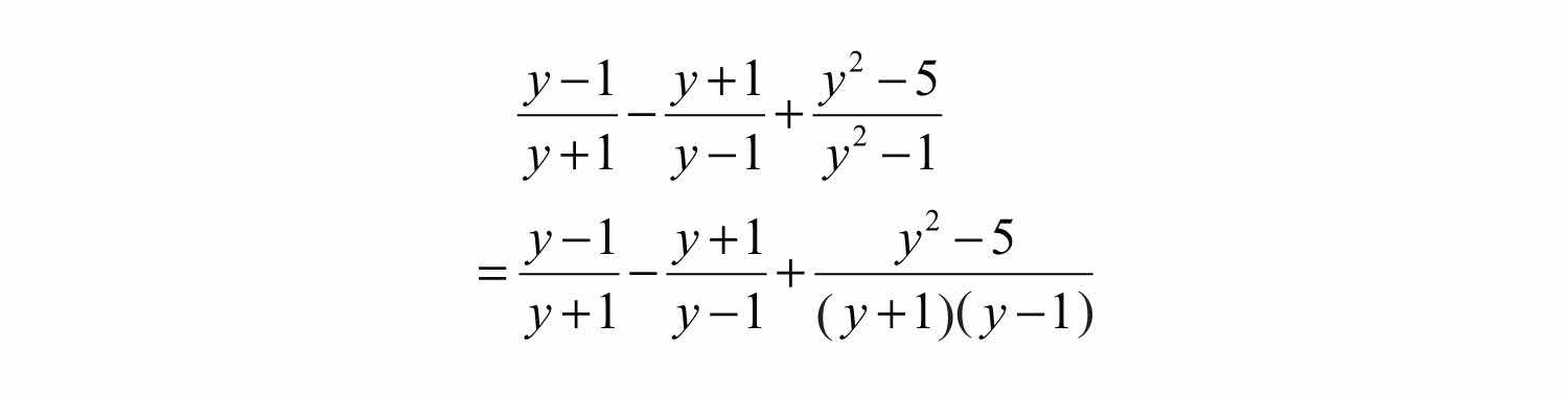
Example 3: Subtract: 2x+7(x+5)(x3)x+10(x+5)(x3).

Solution: We use parentheses to remind us to subtract the entire numerator of the second rational expression.

Answer: 1x+5

 

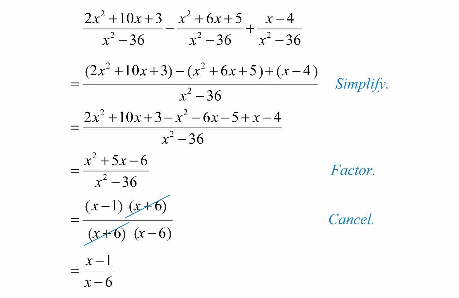
Example 4: Simplify: 2x2+10x+3x236x2+6x+5x236+x4x236.

Solution: Subtract and add the numerators. Make use of parentheses and write the result over the common denominator, x236.

Answer: x1x6

 

Try this! Subtract: x2+12x27x4x22x2x27x4.

Answer: 1x4

Video Solution

(click to see video)

Adding and Subtracting with Unlike Denominators

To add rational expressions with unlike denominators, first find equivalent expressions with common denominators. Do this just as you have with fractions. If the denominators of fractions are relatively prime, then the least common denominator (LCD) is their product. For example,

Multiply each fraction by the appropriate form of 1 to obtain equivalent fractions with a common denominator.

The process of adding and subtracting rational expressions is similar. In general, given polynomials P, Q, R, and S, where Q0 and S0, we have the following:

In this section, assume that all variable factors in the denominator are nonzero.

 

Example 5: Add: 1x+1y.

Solution: In this example, the LCD=xy. To obtain equivalent terms with this common denominator, multiply the first term by yy and the second term by xx.

Answer: y+xxy

 

Example 6: Subtract: 1y1y3.

Solution: Since the LCD=y(y3), multiply the first term by 1 in the form of (y3)(y3) and the second term by yy.

Answer: 3y(y3)

 

It is not always the case that the LCD is the product of the given denominators. Typically, the denominators are not relatively prime; thus determining the LCD requires some thought. Begin by factoring all denominators. The LCD is the product of all factors with the highest power. For example, given

there are three base factors in the denominator: x , (x+2), and (x3). The highest powers of these factors are x3, (x+2)2, and (x3)1. Therefore,

The general steps for adding or subtracting rational expressions are illustrated in the following example.

 

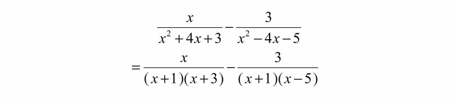
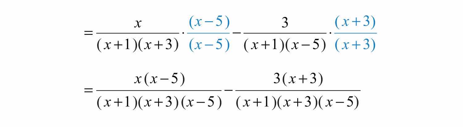
Example 7: Subtract: xx2+4x+33x24x5.

Solution:

Step 1: Factor all denominators to determine the LCD.

The LCDis(x+1)(x+3)(x5).

Step 2: Multiply by the appropriate factors to obtain equivalent terms with a common denominator. To do this, multiply the first term by (x5)(x5) and the second term by (x+3)(x+3).

Step 3: Add or subtract the numerators and place the result over the common denominator.

Step 4: Simplify the resulting algebraic fraction.

Answer: (x9)(x+3)(x5)

 

Example 8: Subtract: x29x+18x213x+36xx4.

Solution: It is best not to factor the numerator, x29x+18, because we will most likely need to simplify after we subtract.

Answer: 18(x4)(x9)

 

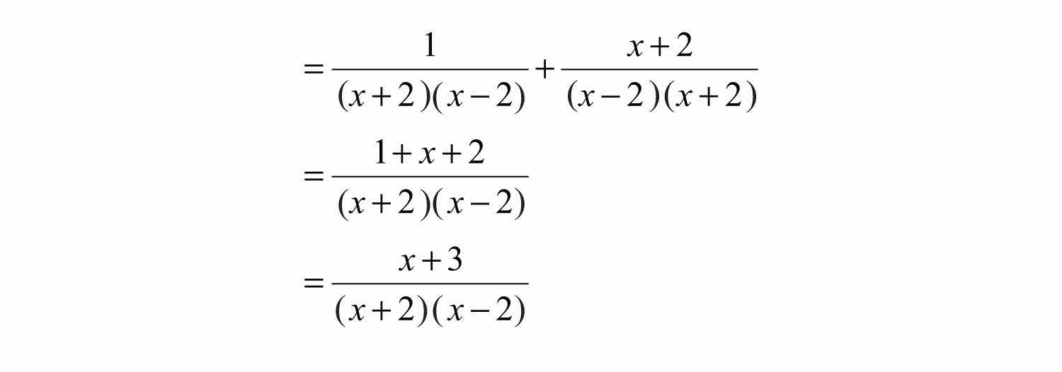
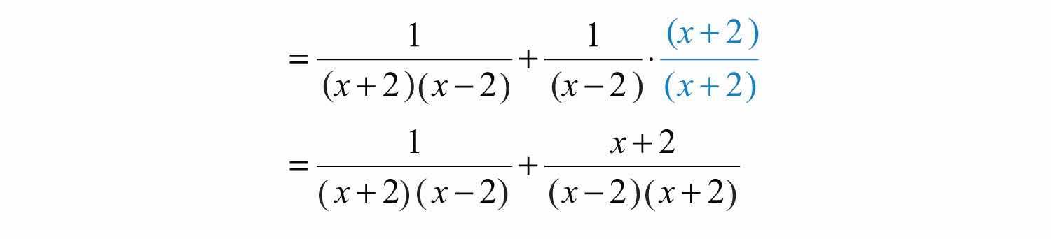
Example 9: Subtract: 1x2412x.

Solution: First, factor the denominators and determine the LCD. Notice how the opposite binomial property is applied to obtain a more workable denominator.

The LCD is (x+2)(x2). Multiply the second term by 1 in the form of (x+2)(x+2).

Now that we have equivalent terms with a common denominator, add the numerators and write the result over the common denominator.

Answer: x+3(x+2)(x2)

 

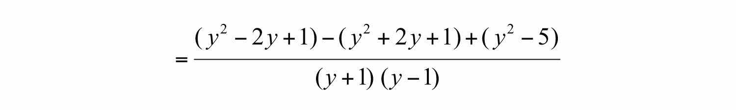
Example 10: Simplify: y1y+1y+1y1+y25y21.

Solution: Begin by factoring the denominator.

We can see that the LCD is (y+1)(y1). Find equivalent fractions with this denominator.

Next, subtract and add the numerators and place the result over the common denominator.

Finish by simplifying the resulting rational expression.

Answer: y5y1

 

Try this! Simplify: 2x21+x1+x51x.

Answer: x+3x1

Video Solution

(click to see video)

Rational expressions are sometimes expressed using negative exponents. In this case, apply the rules for negative exponents before simplifying the expression.

 

Example 11: Simplify: y2+(y1)1.

Solution: Recall that xn=1xn. We begin by rewriting the negative exponents as rational expressions.

Answer: y2+y1y2(y1)

Adding and Subtracting Rational Functions

We can simplify sums or differences of rational functions using the techniques learned in this section. The restrictions of the result consist of the restrictions to the domains of each function.

 

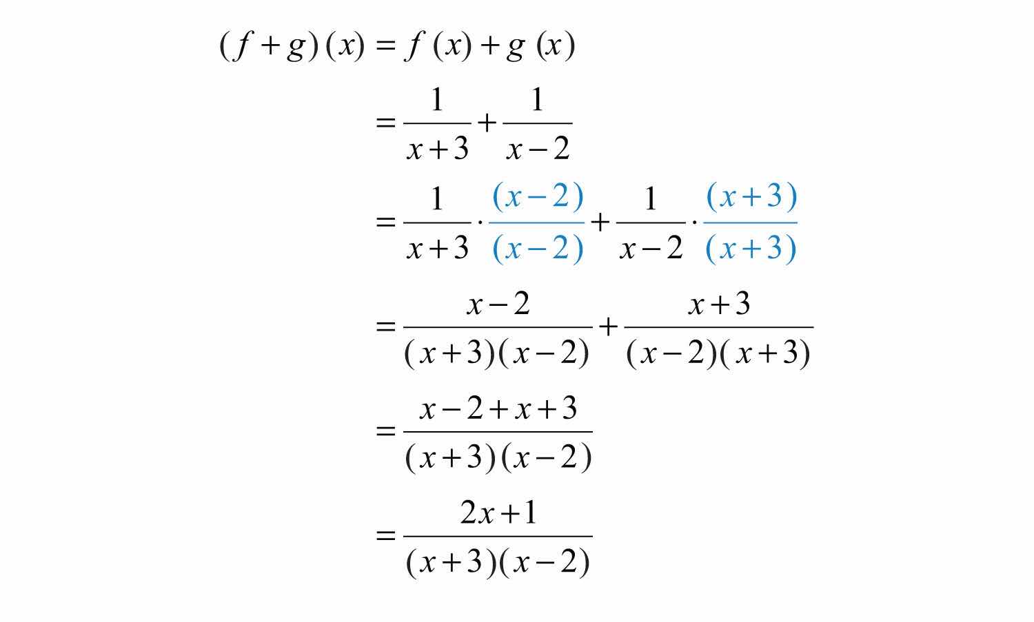
Example 12: Calculate (f+g)(x), given f(x)=1x+3 and g(x)=1x2, and state the restrictions.

Solution:

Here the domain of f consists of all real numbers except −3, and the domain of g consists of all real numbers except 2. Therefore, the domain of f + g consists of all real numbers except −3 and 2.

Answer: 2x+1(x+3)(x2), where x3,2

 

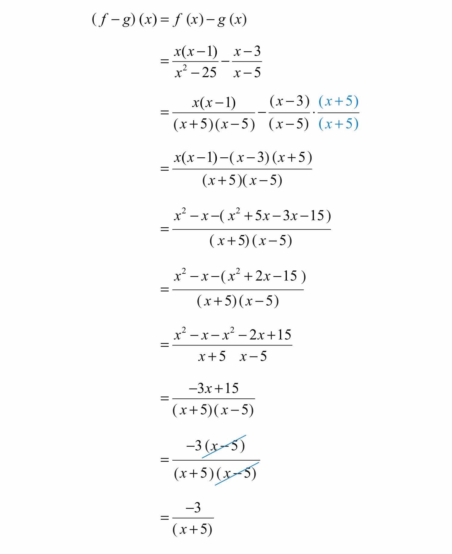
Example 13: Calculate (fg)(x), given f(x)=x(x1)x225 and g(x)=x3x5, and state the restrictions to the domain.

Solution:

The domain of f consists of all real numbers except 5 and −5, and the domain of g consists of all real numbers except 5. Therefore, the domain of fg consists of all real numbers except −5 and 5.

Answer: 3x+5, where x±5

Key Takeaways

  • When adding or subtracting rational expressions with a common denominator, add or subtract the expressions in the numerator and write the result over the common denominator.
  • To find equivalent rational expressions with a common denominator, first factor all denominators and determine the least common multiple. Then multiply numerator and denominator of each term by the appropriate factor to obtain a common denominator. Finally, add or subtract the expressions in the numerator and write the result over the common denominator.
  • The restrictions to the domain of a sum or difference of rational functions consist of the restrictions to the domains of each function.

Topic Exercises

Part A: Adding and Subtracting with Common Denominators

Simplify. (Assume all denominators are nonzero.)

1. 3x+7x

2. 9x10x

3. xy3y

4. 4x3+6x3

5. 72x1x2x1

6. 83x83x3x8

7. 2x9+x11x9

8. y+22y+3y+32y+3

9. 2x34x1x44x1

10. 2xx13x+4x1+x2x1

11. 13y2y93y135y3y

12. 3y+25y10+y+75y103y+45y10

13. x(x+1)(x3)3(x+1)(x3)

14. 3x+5(2x1)(x6)x+6(2x1)(x6)

15. xx236+6x236

16. xx2819x281

17. x2+2x2+3x28+x22x2+3x28

18. x2x2x33x2x2x3

Part B: Adding and Subtracting with Unlike Denominators

Simplify. (Assume all denominators are nonzero.)

19. 12+13x

20. 15x21x

21. 112y2+310y3

22. 1x12y

23. 1y2

24. 3y+24

25. 2x+4+2

26. 2y1y2

27. 3x+1+1x

28. 1x12x

29. 1x3+1x+5

30. 1x+21x3

31. xx+12x2

32. 2x3x+5xx3

33. y+1y1+y1y+1

34. 3y13yy+4y2

35. 2x52x+52x+52x5

36. 22x12x+112x

37. 3x+4x828x

38. 1y1+11y

39. 2x2x29+x+159x2

40. xx+3+1x315x(x+3)(x3)

41. 2x3x113x+1+2(x1)(3x1)(3x+1)

42. 4x2x+1xx5+16x3(2x+1)(x5)

43. x3x+2x2+43x(x2)

44. 2xx+63x6x18(x2)(x+6)(x6)

45. xx+51x7257x(x+5)(x7)

46. xx22x3+2x3

47. 1x+5x2x225

48. 5x2x242x2

49. 1x+16x3x27x8

50. 3x9x21613x+4

51. 2xx21+1x2+x

52. x(4x1)2x2+7x4x4+x

53. 3x23x2+5x22x3x1

54. 2xx411x+4x22x8

55. x2x+1+6x242x27x4

56. 1x2x6+1x23x10

57. xx2+4x+33x24x5

58. y+12y2+5y3y4y21

59. y1y2252y210y+25

60. 3x2+24x22x812x4

61. 4x2+28x26x728x7

62. a4a+a29a+18a213a+36

63. 3a12a28a+16a+24a

64. a2142a27a451+2a

65. 1x+3xx26x+9+3x29

66. 3xx+72xx2+23x10x2+5x14

67. x+3x1+x1x+2x(x+11)x2+x2

68. 2x3x+14x2+4(x+5)3x25x2

69. x14x1x+32x+33(x+5)8x2+10x3

70. 3x2x322x+36x25x94x29

71. 1y+1+1y+2y21

72. 1y1y+1+1y1

73. 52+21

74. 61+42

75. x1+y1

76. x2y1

77. (2x1)1x2

78. (x4)1(x+1)1

79. 3x2(x1)12x

80. 2(y1)2(y1)1

Part C: Adding and Subtracting Rational Functions

Calculate (f+g)(x) and (fg)(x) and state the restrictions to the domain.

81. f(x)=13x and g(x)=1x2

82. f(x)=1x1 and g(x)=1x+5

83. f(x)=xx4 and g(x)=14x

84. f(x)=xx5 and g(x)=12x3

85. f(x)=x1x24 and g(x)=4x26x16

86. f(x)=5x+2 and g(x)=3x+4

Calculate (f+f)(x) and state the restrictions to the domain.

87. f(x)=1x

88. f(x)=12x

89. f(x)=x2x1

90. f(x)=1x+2

Part D: Discussion Board

91. Explain to a classmate why this is incorrect: 1x2+2x2=32x2.

92. Explain to a classmate how to find the common denominator when adding algebraic expressions. Give an example.

Answers

1: 10x

3: x3y

5: 7x2x1

7: 1

9: x+14x1

11: y1y

13: 1x+1

15: 1x6

17: x+5x+7

19: 3x+26x

21: 5y+1860y3

23: 12yy

25: 2(x+5)x+4

27: 4x+1x(x+1)

29: 2(x+1)(x3)(x+5)

31: x24x2(x2)(x+1)

33: 2(y2+1)(y+1)(y1)

35: 40x(2x+5)(2x5)

37: 3(x+2)x8

39: 2x+5x+3

41: 2x+13x+1

43: x2+4x+43x(x2)

45: x6x7

47: x2+x5(x+5)(x5)

49: 5x8

51: 2x1x(x1)

53: x(x4)(x+2)(3x1)

55: x+62x+1

57: x9(x5)(x+3)

59: y28y5(y+5)(y5)2

61: 4xx+1

63: a+5a4

65: 6x(x+3)(x3)2

67: x7x+2

69: x54x1

71: 2y1y(y1)

73: 2750

75: x+yxy

77: (x1)2x2(2x1)

79: x(x+2)x1

81: (f+g)(x)=2(2x1)3x(x2); (fg)(x)=2(x+1)3x(x2); x0,2

83: (f+g)(x)=x1x4; (fg)(x)=x+1x4; x4

85: (f+g)(x)=x(x5)(x+2)(x2)(x8); (fg)(x)=x213x+16(x+2)(x2)(x8); x2,2,8

87: (f+f)(x)=2x; x0

89: (f+f)(x)=2x2x1; x12