9.6 Introduction to Complex Numbers and Complex Solutions

Learning Objectives

  1. Perform operations with complex numbers.
  2. Solve quadratic equations with complex solutions.

Introduction to Complex Numbers

Up to this point, the square root of a negative number has been left undefined. For example, we know that 9 is not a real a number.

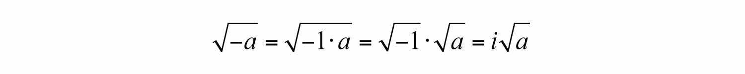
There is no real number that when squared results in a negative number. We begin the resolution of this issue by defining the imaginary unitDefined as i=1 and i2=1., i, as the square root of −1.

To express a square root of a negative number in terms of the imaginary unit i, we use the following property, where a represents any nonnegative real number:

With this we can write

If 9=3i, then we would expect that 3i squared equals −9:

Therefore, the square root of any negative real number can be written in terms of the imaginary unit. Such numbers are often called imaginary numbersThe square roots of any negative real numbers..

 

Example 1: Rewrite in terms of the imaginary unit i.

a. 4

b. 5

c. 8

Solution:

a. 4=14=14=i2=2i

b. 5=15=15=i5

c. 8=142=142=i22=2i2

Notation Note

When an imaginary number involves a radical, place i in front of the radical. Consider the following:

2i2=22i

Since multiplication is commutative, these numbers are equivalent. However, in the form 22i, the imaginary unit i is often misinterpreted to be part of the radicand. To avoid this confusion, it is a best practice to place the i in front of the radical and use 2i2.

A complex numberNumbers of the form a+bi, where a and b are real numbers. is any number of the form

where a and b are real numbers. Here a is called the real partThe real number a of a complex number a+bi. and b is called the imaginary partThe real number b of a complex number a+bi.. For example, 34i is a complex number with a real part, 3, and an imaginary part, −4. It is important to note that any real number is also a complex number. For example, the real number 5 is also a complex number because it can be written as 5+0i with a real part of 5 and an imaginary part of 0. Hence the set of real numbers, denoted R, is a subset of the set of complex numbers, denoted C.

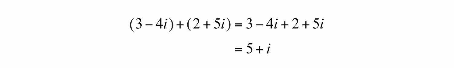
Adding and subtracting complex numbers is similar to adding and subtracting like terms. Add or subtract the real parts and then the imaginary parts.

 

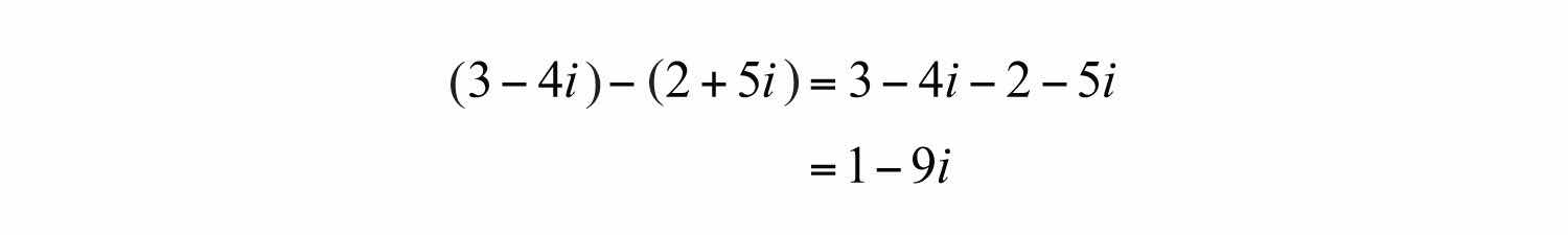
Example 2: Add: (34i)+(2+5i).

Solution: Add the real parts and then add the imaginary parts.

Answer: 5+i

 

To subtract complex numbers, subtract the real parts and subtract the imaginary parts. This is consistent with the use of the distributive property.

 

Example 3: Subtract: (34i)(2+5i).

Solution: Distribute the negative one and then combine like terms.

Answer: 19i

 

The distributive property also applies when multiplying complex numbers. Make use of the fact that i2=1 to resolve the result into standard form: a+bi.

 

Example 4: Multiply: 5i(34i).

Solution: Begin by applying the distributive property.

Answer: 20+15i

 

Example 5: Multiply: (34i)(4+5i).

Solution:

Answer: 32i

 

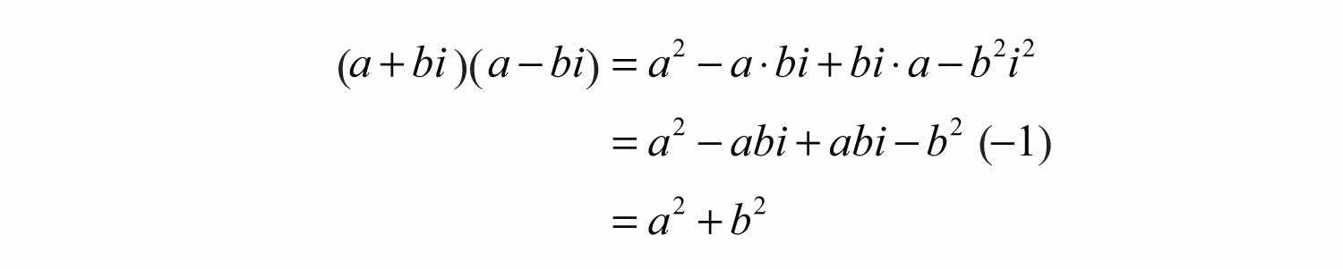
Given a complex number a+bi, its complex conjugateTwo complex numbers whose real parts are the same and imaginary parts are opposite. If given a+bi, then its complex conjugate is abi. is abi. We next explore the product of complex conjugates.

 

Example 6: Multiply: (34i)(3+4i).

Solution:

Answer: 25

 

In general, the product of complex conjugatesThe real number that results from multiplying complex conjugates: (a+bi)(abi)=a2+b2. follows:

Note that the result does not involve the imaginary unit; hence the result is real. This leads us to the very useful property:

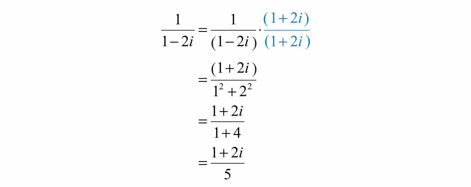
To divide complex numbers, we apply the technique used to rationalize the denominator. Multiply the numerator and denominator (dividend and divisor) by the conjugate of the denominator. The result can then be resolved into standard form, a+bi.

 

Example 7: Divide: 112i.

Solution: In this example, the conjugate of the denominator is 1+2i. Multiply by 1 in the form (1+2i)(1+2i).

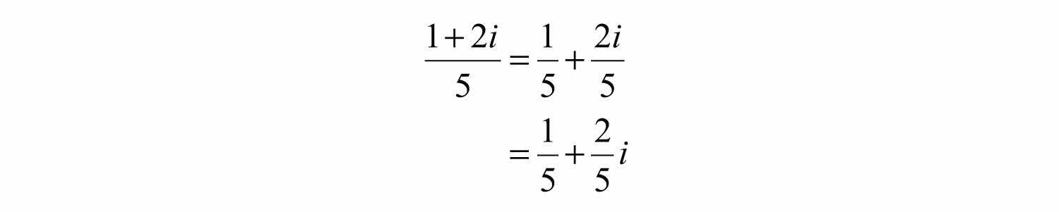
To express this complex number in standard form, write each term over the common denominator 5.

Answer: 15+25i

 

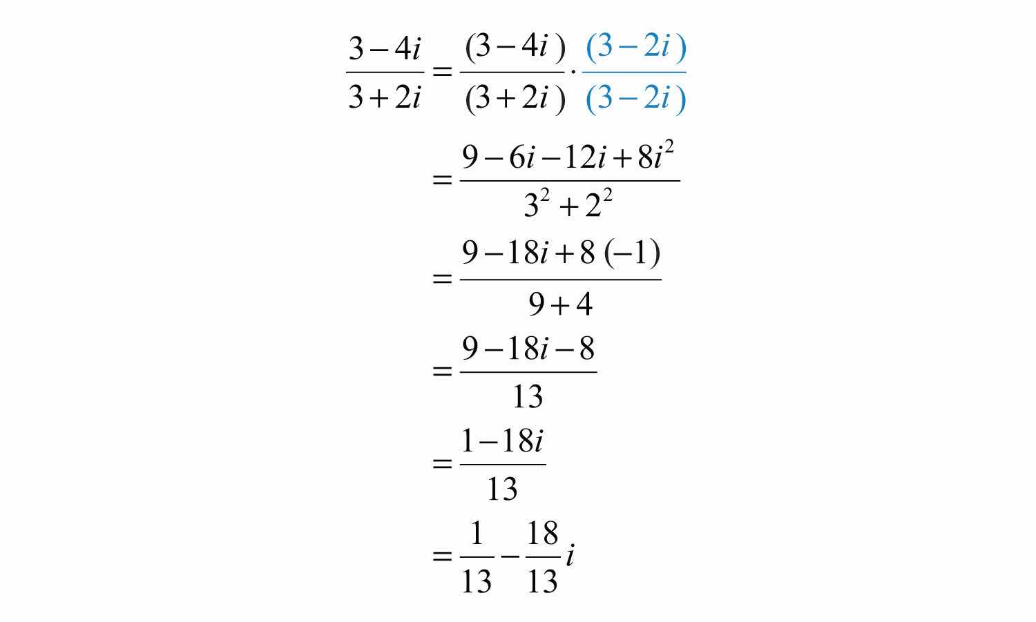
Example 8: Divide: 34i3+2i.

Solution:

Answer: 1131813i

 

Try this! Divide: 5+5i13i.

Answer: 1+2i

Video Solution

(click to see video)

Quadratic Equations with Complex Solutions

Now that complex numbers are defined, we can complete our study of solutions to quadratic equations. Often solutions to quadratic equations are not real.

 

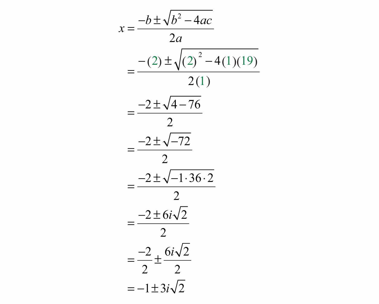
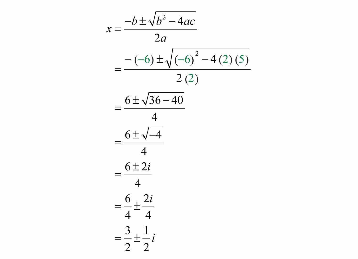
Example 9: Solve using the quadratic formula: x22x+5=0

Solution: Begin by identifying a, b, and c. Here

Substitute these values into the quadratic formula and then simplify.

Check these solutions by substituting them into the original equation.

Answer: The solutions are 12i and 1+2i.

 

The equation may not be given in standard form. The general steps for solving using the quadratic formula are outlined in the following example.

 

Example 10: Solve: (2x+1)(x3)=x8.

Solution:

Step 1: Write the quadratic equation in standard form.

Step 2: Identify a, b, and c for use in the quadratic formula. Here

Step 3: Substitute the appropriate values into the quadratic formula and then simplify.

Answer: The solution is 32±12i. The check is optional.

 

Example 11: Solve: x(x+2)=19.

Solution: Begin by rewriting the equation in standard form.

Here a=1, b=2, and c=19. Substitute these values into the quadratic formula.

Answer: The solutions are 13i2 and 1+3i2.

Notation Note

Consider the following:

1+3i2=1+32i

Both numbers are equivalent and 1+32i is in standard form, where the real part is −1 and the imaginary part is 32. However, this number is often expressed as 1+3i2, even though this expression is not in standard form. Again, this is done to avoid the possibility of misinterpreting the imaginary unit as part of the radicand.

 

Try this! Solve: (2x+3)(x+5)=5x+4.

Answer: 4±i62=2±62i

Video Solution

(click to see video)

Key Takeaways

  • The result of adding, subtracting, multiplying, and dividing complex numbers is a complex number.
  • Use complex numbers to describe solutions to quadratic equations that are not real.

Topic Exercises

Part A: Introduction to Complex Numbers

Rewrite in terms of i.

1. 64

2. 81

3. 20

4. 18

5. 50

6. 48

7. 45

8. 8

9. 14

10. 29

Perform the operations.

11. (3+5i)+(74i)

12. (67i)+(52i)

13. (83i)+(5+2i)

14. (10+15i)+(1520i)

15. (12+34i)+(1618i)

16. (2516i)+(11032i)

17. (5+2i)(83i)

18. (7i)(69i)

19. (95i)(8+12i)

20. (11+2i)(137i)

21. (114+32i)(4734i)

22. (3813i)(1212i)

23. 2i(74i)

24. 6i(12i)

25. 2i(34i)

26. 5i(2i)

27. (2+i)(23i)

28. (35i)(12i)

29. (1i)(89i)

30. (1+5i)(5+2i)

31. (4+3i)2

32. (25i)2

33. (42i)(4+2i)

34. (6+5i)(65i)

35. (12+23i)(1312i)

36. (2313i)(1232i)

37. 15+4i

38. 134i

39. 20i13i

40. 10i12i

41. 105i3i

42. 42i22i

43. 5+10i3+4i

44. 24i5+3i

45. 1+2i23i

46. 3i45i

Part B: Complex Roots

Solve by extracting the roots and then solve by using the quadratic formula. Check answers.

47. x2+9=0

48. x2+1=0

49. 4t2+25=0

50. 9t2+4=0

51. 4y2+3=0

52. 9y2+5=0

53. 3x2+2=0

54. 5x2+3=0

55. (x+1)2+4=0

56. (x+3)2+9=0

Solve using the quadratic formula.

57. x22x+10=0

58. x24x+13=0

59. x2+4x+6=0

60. x2+2x+9=0

61. y26y+17=0

62. y22y+19=0

63. t25t+10=0

64. t2+3t+4=0

65. x2+10x29=0

66. x2+6x10=0

67. y2y2=0

68. y2+3y5=0

69. 2x2+10x17=0

70. 8x2+20x13=0

71. 3y22y+4=0

72. 5y24y+3=0

73. 2x2+3x+2=0

74. 4x2+2x+1=0

75. 2x212x+14=0

76. 3x223x+13=0

77. 2x(x1)=1

78. x(2x+5)=3x5

79. 3t(t2)+4=0

80. 5t(t1)=t4

81. (2x+3)2=16x+4

82. (2y+5)212(y+1)=0

83. 3(y+3)(y5)=5y+46

84. 2(y4)(y+1)=3y+10

85. 9x(x1)+3(x+2)=1

86. 5x(x+2)6(2x1)=5

87. 3(t1)2t(t2)=6t

88. 3(t3)t(t5)=7t

89. (2x+3)(2x3)5(x2+1)=9

90. 5(x+1)(x1)3x2=8

Part C: Discussion Board

91. Explore the powers of i. Share your discoveries on the discussion board.

92. Research and discuss the rich history of imaginary numbers.

93. Research and discuss real-world applications involving complex numbers.

Answers

1: 8i

3: 2i5

5: 5i2

7: 3i5

9: i2

11: 10+i

13: 3i

15: 23+58i

17: 3+5i

19: 1717i

21: 12+94i

23: 8+14i

25: 86i

27: 74i

29: 117i

31: 7+24i

33: 20

35: 12136i

37: 541441i

39: 6+2i

41: 7212i

43: 11525i

45: 413+713i

47: ±3i

49: ±5i2

51: ±i32

53: ±i63

55: 1±2i

57: 1±3i

59: 2±i2

61: 3±2i2

63: 52±152i

65: 5±2i

67: 12±72i

69: 52±32i

71: 13±113i

73: 34±74i

75: 18±78i

77: 12±12i

79: 1±33i

81: 12±i

83: 16±116i

85: 13±23i

87: 14±234i

89: ±i5