Nuestro equipo de editores e investigadores capacitados han sido autores de este artículo y lo han validado por su precisión y amplitud.
El equipo de contenido de wikiHow revisa cuidadosamente el trabajo de nuestro personal editorial para asegurar que cada artículo cumpla con nuestros altos estándares de calidad.
Este artículo ha sido visto 68 896 veces.
Las funciones inversas pueden ser de mucha utilidad en la resolución de una serie de problemas matemáticos. Poder resolver la función inversa es una herramienta muy útil, aunque en el caso de las ecuaciones cuadráticas, esto puede ser bastante complicado. En primer lugar, deberás definir la ecuación con cuidado, y establecer un dominio y rango apropiados. Luego, tendrás tres métodos que podrás utilizar para calcular la función inversa, dependiendo de tu preferencia personal.
Pasos
Método 1
Método 1 de 3:Hallar la inversa de una función simple
-
1Busca una función que tenga la siguiente forma: . Si tienes el tipo “correcto” de función, podrás hallar la inversa con algunas operaciones algebraicas simples. Dicha forma es una variación de . En comparación con una función cuadrática estándar (), deberás notar que falta el término central, . Otra forma de representar esto es cuando el valor de “b” es 0. Si tienes una función con esta forma, no tendrás mayores problemas para hallar la inversa.
- No es necesario que la función inicial se vea de la siguiente forma: . Mientras puedas verla y determinar que se compone únicamente de y números constantes, podrás utilizar este método.
- Por ejemplo, supongamos que tienes la siguiente ecuación: . Al examinarla rápidamente, podrás ver que no hay términos de en la primera potencia. Eso significa que, en este caso, sí puedes utilizar este método para hallar una función inversa.
-
2Realiza una simplificación al combinar los términos semejantes. La ecuación inicial puede tener varios términos en una combinación de suma y resta. El primer paso es combinar los términos semejantes con la finalidad de simplificar la ecuación y reescribirla en el siguiente formato estándar: .
- Por ejemplo, en la siguiente ecuación , los términos “y” pueden combinarse y ubicarse a la izquierda al restarles a cada uno una “y”. Los otros términos pueden combinarse y ubicarse a la derecha al sumar 6 y restar x^2 en cada lado. Al final, la ecuación resultante será .
-
3Determina el rango y dominio de la función simplificada. Recuerda que el dominio de una función consiste en los posibles valores de “x” que pueden aplicarse para proporcionar una solución real. El rango de una función se compone de dos valores de “y” que darán lugar a un resultado. Para determinar el dominio de una función, busca valores que creen un resultado matemáticamente imposible. A continuación, expresa el dominio como todos los valores de “x”. Para hallar el rango, ten en cuenta los valores de “y” en cualquier punto límite y presta atención al resultado de la función.[1]
- Ten en cuenta la siguiente ecuación: . Para esta ecuación, no existe un límite en los valores permisibles de “x”. No obstante, ten en cuenta que esta es la ecuación de una parábola, centrada en x=0, y que una parábola no es una función debido a que no se compone de un trazado individual de los valores de “x” e “y”. Para limitar esta ecuación y convertirla en una función, para la cual podemos encontrar una inversa, será necesario definir el dominio como x≥0.
- El rango está limitado de manera similar. Ten en cuenta que el primer término () siempre será positivo o 0, para cualquier valor de “x”. Al sumarle 2 a la ecuación, el rango se encontrará dentro de los valores y≥2.
- En esta etapa temprana, es necesario definir el domino y el rango. Deberás utilizar estas definiciones más adelante para definir el dominio y el rango de la función inversa. De hecho, el dominio de la función original se convertirá en el rango de la función inversa; mientras que el rango, en el dominio de la inversa.[2]
-
4Cambia los roles de los términos “x” e “y”. Sin cambiar la ecuación de cualquier otra forma, será necesario que reemplaces todas las veces en que aparece el término “x” con una “y”, y viceversa. Este es el paso que realmente “invierte” la ecuación.[3]
- En el caso de la ecuación , esta inversión dará lugar a la siguiente ecuación nueva: .
- Un formato alternativo consiste en reemplazar los términos “y” con “x”, pero reemplazar los términos “X” ya sea con o a fin de indicar la función inversa.
-
5Reescribe la ecuación invertida en términos de “y”. Utiliza una combinación de métodos algebraicos y realiza cuidadosamente la misma operación en ambos lados de la ecuación con la finalidad de aislar la variable “y”. Para resolver la ecuación , deberás hacer lo siguiente:[4]
- (punto de partida original)
- (resta 2 a ambos lados)
- (divide ambos lados entre 2)
- ± (saca la raíz cuadrada de ambos lados; recuerda que la raíz cuadrada tiene como resultado posible respuestas en positivo y negativo)
-
6Determina el dominio y el rango de la función inversa. Tal como hiciste en un principio, examina la ecuación invertida para definir su dominio y rango. Con dos posibles soluciones, selecciona aquella que tenga un dominio y rango inversos a los dominio y rango originales.[5]
- Examina la solución de la ecuación ±. Debido a que la función de raíz cuadrada no está definida por ningún valor negativo, el término siempre deberá ser positivo. Por consiguiente, los valores permisibles de “x” (el dominio) deben ser x≥2. Al utilizar eso como dominio, los valores resultantes de “y” (el rango) son valores y≥0 (si eliges la solución positiva de la raíz cuadrada) o y≤0 (si eliges la solución negativa de la raíz cuadrada). Recuerda que en un principio definiste el dominio como x≥0 a fin de poder hallar la función inversa. Por consiguiente, la solución correcta para la función inversa es la opción positiva.
- Compara el dominio y el rango de la inversa con el dominio y rango de la función original. Recuerda que, en la función original, , el dominio se definió como todos los valores de x≥0, mientras que el rango, como todos los valores de y≥2. En el caso de la función inversa, estos valores cambian y el domino pasa a ser todos los valores de x≥2, mientras que el rango, todos los valores de y≥0.
-
7Asegúrate de que la función inversa funcione. Para asegurarte de que tus cálculos sean correctos y de que la función inversa sea la ecuación correcta, selecciona cualquier valor de “x” y colócalo en la ecuación original para hallar el valor de “y”. Luego, coloca el valor de “y” en el lugar de “x” en la ecuación inversa para ver si obtienes el número inicial. Si los resultados coinciden, significa que la función inversa es correcta.[6]
- Como ejemplo, selecciona el valor x=1 y colócalo en la ecuación original . Esto dará como resultado y=4.
- A continuación, coloca dicho valor en la función inversa . Esto dará el siguiente resultado: y=1. De esta manera, podrás concluir que la función inversa es correcta.
Anuncio
Método 2
Método 2 de 3:Resolver la potencia para determinar la función inversa
-
1Establece la ecuación cuadrática en la forma adecuada. Para comenzar a hallar la función inversa, deberás utilizar la ecuación en el siguiente formato: . De ser necesario, probablemente necesites combinar los términos semejantes con la finalidad de obtener este formato. Al escribir la ecuación de esta manera, podrás comenzar a obtener parte de la información.[7]
- Lo primero que notarás es el valor del coeficiente “a”. Si a>0, entonces la ecuación define una parábola que termina en dirección ascendente. Si a<0, la ecuación define una parábola que termina en dirección descendente. Ten en cuenta que a≠0. Si lo fuera, sería una función lineal en lugar de una cuadrática.
-
2Reconoce el formato estándar de la ecuación cuadrática. Antes de poder hallar la función inversa, deberás reescribir la ecuación en el formato estándar. El formato estándar de cualquier función cuadrática es . Los términos numéricos “a”, “h” y “k” se desarrollarán a medida que transformas la ecuación mediante un proceso conocido como completación de la potencia.[8]
- Ten en cuenta que este formato estándar se compone de un término con un cuadrado perfecto, , el cual se ajusta con relación a los otros dos elementos “a” y “k”. Para obtener esta forma de cuadrado perfecto, deberás crear determinadas condiciones en la ecuación cuadrática.
-
3Recuerda la forma de una función cuadrática con cuadrado perfecto. No olvides que una función cuadrática que es un cuadrado perfecto se origina con dos binomios de o . Al realizar esta multiplicación, obtendrás el siguiente resultado: . Por consiguiente, el primer término de la función cuadrática es el primero del binomio, elevado al cuadrado, mientras que el último término de dicha función es el cuadrado del segundo término del binomio. EL término medio se compone de dos veces el producto de ambos términos, en este caso: .[9]
- Para completar el cuadrado, deberás realizar las operaciones a la inversa. Deberás comenzar con y un segundo término de “x”. Desde el coeficiente de este término, el cual puedes definir como “2b”, deberás hallar . Para ello, deberás dividir entre dos y luego elevar el resultado al cuadrado.
-
4Asegúrate de que el coeficiente en sea 1. Recuerda la forma original de la función cuadrática . Si el primer coeficiente no es 1, deberás dividir todos los términos entre ese valor con la finalidad de obtener a=1.[10]
- Por ejemplo, ten en cuenta la función cuadrática . Para simplificarla, divide todos los términos entre 2 con la finalidad de obtener como resultado la función . El coeficiente 2 permanecerá afuera de los paréntesis y formará parte de la solución final.
- Si todos los términos no son múltiplos de “a”, terminarás con coeficientes fraccionarios. Por ejemplo, la función se simplificará a . Resuelve cuidadosamente las fracciones según sea necesario.
-
5Halla la mitad del coeficiente intermedio y elévala al cuadrado. Ya tienes los dos primeros términos de la función cuadrática con cuadrado perfecto. Estos son el término y cualquier coeficiente que aparezca en frente del término “x”. Al asignarle a dicho coeficiente cualquier valor, sumarás o restarás cualquier número necesario con la finalidad de crear una función cuadrática con cuadrado perfecto. Recuerda que anteriormente el tercer término necesario de la función cuadrática es el segundo coeficiente dividido entre dos y luego elevado al cuadrado.[11]
- Por ejemplo, si los dos primeros términos de la función cuadrática son , hallar el tercer término necesario al dividir 3 entre 2, lo que dará 3/2, y luego al elevar ese resultado al cuadrado para obtener 9/4. Ahora, la función cuadrática es un cuadrado perfecto.
- Como otro ejemplo, supongamos que los dos primeros términos son . La mitad del término intermedio es -2, número que deberás elevar al cuadrado para obtener 4. Por consiguiente, la función con cuadrado perfecto resultante será .
-
6Suma y resta al mismo tiempo el tercer término necesario. Este es un concepto complicado, pero funciona. Al sumar y restar el mismo número en diferentes ubicaciones de la función, no cambiarás su valor. No obstante, esto te permitirá darle el formato apropiado a la función.[12]
- Supongamos que tienes la siguiente función . Como se señaló anteriormente, utilizarás los dos primeros términos para completar el cuadrado. Utilizando el término medio de -4x, generarás un tercer término: +4. Ahora deberás sumar y restar 4 a la ecuación de la siguiente manera: . Los paréntesis se colocan para definir la función cuadrática de cuadrado perfecto que has creado. Ten en cuenta que el +4 está dentro de los paréntesis y el -4, afuera. Simplifica los números para obtener el siguiente resultado: .
-
7Factoriza la función cuadrática de cuadrado perfecto. El polinomio ubicado dentro de los paréntesis debe ser una función cuadrática de cuadrado perfecto, la cual puedes reescribir de la siguiente forma: . En el ejemplo anterior, , la función cuadrática se factoriza para obtener la siguiente forma: . Copia el resto de la ecuación de modo que la solución termine así: . Esta es la misma función que la función cuadrática original, , solo que ahora ha adquirido una forma estándar form.[13]
- Ten en cuenta que, para esta función, a=1, h=2 y k=5. El valor de escribir la ecuación en esta forma es que “a”, al ser positivo, te indica que la parábola tiene dirección ascendente. En caso de que desees hacer un gráfico, ten en cuenta que el valor de (h,k) te indica el punto de vértice en la parte inferior de la parábola.
-
8Define el dominio y el rango de la función. El dominio es el conjunto de valores de “x” que pueden utilizarse como entrada en la función. Por su parte, el rango es el conjunto de valores de “y” que pueden ser el resultado. Recuerda que una parábola no es una función con una inversa definible, pues no existe un trazado individual de valores de “x” a “y” como resultado de la simetría de dicha parábola. Para darle una solución a este problema, será necesario que definas el dominio como todos los valores de “x” mayores que x=h, el punto de vértice de la parábola.[14]
- Continuemos trabajando con la función . Como esta función tiene el formato estándar, puedes identificar el punto de vértice como x=2, y=5. Por consiguiente, para evitar la simetría, solo deberás resolver el lado derecho del gráfico y establecer el dominio como todos los valores de x≥2. Al introducir el valor x=2 en la función, obtendrás como resultado y=5. En este punto, puedes ver que los valores de “y” aumentan a medida que “x” también lo hace. Por consiguiente, el rango de esta ecuación es y≥5.
-
9Reemplaza los valores de “x” e “y”. En este paso, comenzarás a hallar la forma invertida de la ecuación. No modifiques en lo absoluto la ecuación y solo reemplaza estas variables.[15]
- Sigue trabajando con la función . Coloca una “x” en el lugar de f(x) y una “y” (o f(x), si lo prefieres) en el lugar de “x”. De esta manera, obtendrás una nueva función: .
-
10Reescribe la ecuación invertida en términos de “y”. Utiliza una combinación de métodos algebraicos y realiza cuidadosamente la misma operación en ambos lados de la ecuación con la finalidad de aislar la variable “y”. Para resolver la ecuación , deberás hacer lo siguiente:[16]
- (punto de partida original)
- (resta 5 en ambos lados)
- ± (saca la raíz cuadrada de ambos lados; recuerda que la raíz cuadrada tiene como resultado posible respuestas en positivo y negativo)
- ± (suma 2 en ambos lados)
-
11Determina el dominio y el rango de la función inversa. Tal como hiciste en un principio, examina la ecuación invertida para definir su dominio y rango. Con dos posibles soluciones, selecciona aquella que tenga un dominio y rango inversos a los dominio y rango originales.[17]
- Examina la solución de la ecuación ±. Debido a que la función de raíz cuadrada no está definida por ningún valor negativo, el término siempre deberá ser positivo. Por consiguiente, los valores permisibles de “x” (el dominio) deben ser x≥5. Al utilizar eso como dominio, los valores resultantes de “y” (el rango) son todos valores y≥2 (si eliges la solución positiva de la raíz cuadrada) o y≤2 (si eliges la solución negativa de la raíz cuadrada). Recuerda que en un principio definiste el dominio como x≥2 a fin de poder hallar la función inversa. Por consiguiente, la solución correcta para la función inversa es la opción positiva.
- Compara el dominio y el rango de la inversa con el dominio y rango de la función original. Recuerda que en la función original el dominio se definió como todos los valores de x≥2, mientras que el rango, como todos los valores de y≥5. Ahora, en el caso de la función inversa, estos valores cambian y el domino pasa a ser todos los valores de x≥5, mientras que el rango, todos los valores de y≥2.
-
12Asegúrate de que la función inversa funcione. Para asegurarte de que tus cálculos sean correctos y de que la función inversa sea la ecuación correcta, selecciona cualquier valor de “x” y colócalo en la ecuación original para hallar el valor de “y”. Luego, coloca el valor de “y” en el lugar de “x” en la ecuación inversa para ver si obtienes el número inicial. Si los resultados coinciden, significa que la función inversa es correcta.[18]
- Como ejemplo, selecciona el valor x=3 y colócalo en la ecuación original . Esto dará como resultado y=6.
- A continuación, coloca dicho valor (6) en la función inversa . Esto dará el siguiente resultado: y=3, que es el número inicial. De esta manera, podrás concluir que la función inversa es correcta.
Anuncio
Método 3
Método 3 de 3:Utilizar la fórmula cuadrática
-
1Recuerda la fórmula cuadrática para resolver el valor de “x”. Al momento de resolver ecuaciones cuadráticas, recuerda que un método era la factorización siempre que sea posible. Si la factorización no surtió efecto, puedes recurrir a la fórmula cuadrática, la cual proporciona soluciones reales para cualquier fórmula cuadrática. Puede utilizar dicha fórula como otro método para hallar funciones inversas.[19]
- La fórmula cuadrática es la siguiente: x=[-b±√(b^2-4ac)]/2a.
- Ten en cuenta que la fórmula cuadrática produce como resultado dos soluciones posibles: una positiva y una negativa. Deberás elegir una con base en la definición del dominio y el rango de la función.
-
2Comienza con una ecuación cuadrática para hallar la inversa. La ecuación cuadrática debe tener el siguiente formato inicial: . Sigue todos los pasos algebraicos necesarios para darle dicha forma a la ecuación.[20]
- En esta sección del artículo, utilizaremos la siguiente ecuación a modo de ejemplo: .
-
3Grafica la ecuación para definir el dominio y el rango. Determina el gráfico de la función utilizando una calculadora de gráficos o simplemente trazando varios puntos hasta que se genere la parábola. Descubrirás que esta ecuación define una parábola con su vértice en (-1,-4). Por consiguiente, para definirla como una función que tenga una inversa, define el dominio como todos los valores de x≤-1. Por lo tanto, el rango será todos los valores de y≥-4.[21]
-
4Intercambia las variables “x” e “y”. Para comenzar a hallar la inversa, cambia las variables “x” e “y”. No cambies la ecuación, salvo para invertir las variables. En este punto, deberás reemplazar “x” por f(x).[22]
- Para la ecuación , obtendrás el siguiente resultado .
-
5Iguala a 0 el lado izquierdo de la ecuación. Para utilizar la fórmula cuadrática, recuerda que deberás igualar la ecuación a 0 y luego utilizar los coeficientes en la fórmula. Del mismo modo, este método para hallar una función inversa comienza igualando a 0 la ecuación.
- En el caso de la ecuación que usamos como ejemplo, para igualar el lado izquierdo a 0, será necesario restar “x” en ambos lados. Esto dará como resultado .
-
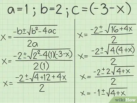
6Redefine las variables para que encajen en la fórmula cuadrática. Este paso es un poco complicado. Recuerda que la fórmula cuadrática despeja el valor de “x” en la ecuación . Por lo tanto, para hacer que la ecuación actual, , coincida con ese formato, deberás redefinir los términos de la siguiente manera:[23]
- . Por lo tanto, x=1
- . Por lo tanto, b=2
- . Por lo tanto, c=(-3-x)
-
7Resuelve la fórmula cuadrática utilizando los valores redefinidos. Por lo general, para hallar el valor de “x”, deberás colocar los valores de a, b y c en la fórmula cuadrática. No obstante, recuerda que previamente cambiaste los valores de “x” e “y” para hallar la función inversa. Por lo tanto, cuando utilices la fórmula cuadrática para hallar “x”, realmente hallarás el valor de “y”, o la función inversa. A continuación, verás los pasos que deberás seguir para resolver la fórmula cuadrática:[24]
- x=[-b±√(b^2-4ac)]/2a
- x=(-2)±√((-2)^2-4(1)(-3-x)) / 2(1)
- x=((-2)±√(4+12+4x))/2
- x=(-2±√(16+4x))/2
- x=(-2±√(4)(4+x))/2
- x=-2±2√(4+x))/2
- x=-1±√(4+x)
- función inversa = -1±√(4+x) (este paso final es posible porque previamente colocaste “x” en el lugar de la variable f(x))
-
8Escribe las dos soluciones posibles. Ten en cuenta que la fórmula cuadrática otorga dos resultados posibles con el símbolo ±. Escribe las dos soluciones por separado para que te sea más sencillo definir el dominio y el rango, y así llegar a la solución final correcta. Ambas soluciones son las siguientes:[25]
-
9Define el dominio y el rango de la función inversa. Ten en cuenta que, para definir la raíz cuadrada, el dominio debe ser x≥-4. Recuerda que el dominio de la función original era x≤-1, mientras que el rango era y≥-4. Para elegir la función inversa que coincida, deberás optar por la segunda solución como la función inversa correcta.[26]
-
10Asegúrate de que la función inversa funcione. Para asegurarte de que tus cálculos sean correctos y de que la función inversa sea la ecuación correcta, selecciona cualquier valor de “x” y colócalo en la ecuación original para hallar el valor de “y”. Luego, coloca el valor de “y” en el lugar de “x” en la ecuación inversa para ver si obtienes el número inicial. Si los resultados coinciden, significa que la función inversa es correcta.[27]
- Utilizando la función original , elige x=-2. Esto dará como resultado que el valor de y=-3. A continuación, coloca el valor x=-3 en la función inversa, . Esto dará como resultado -2, que es el valor inicial. Por lo tanto, la definición de función inversa es correcta.
Anuncio
Referencias
- ↑ https://www.chilimath.com/algebra/advanced/inverse/find-inverse-quadratic-function.html
- ↑ https://www.chilimath.com/algebra/advanced/inverse/find-inverse-quadratic-function.html
- ↑ https://www.chilimath.com/algebra/advanced/inverse/find-inverse-quadratic-function.html
- ↑ https://www.chilimath.com/algebra/advanced/inverse/find-inverse-quadratic-function.html
- ↑ https://www.chilimath.com/algebra/advanced/inverse/find-inverse-quadratic-function.html
- ↑ https://www.chilimath.com/algebra/advanced/inverse/find-inverse-quadratic-function.html
- ↑ http://www.personal.kent.edu/~bosikiew/Algebra-handouts/quad-stand.pdf
- ↑ http://www.personal.kent.edu/~bosikiew/Algebra-handouts/quad-stand.pdf
- ↑ http://www.personal.kent.edu/~bosikiew/Algebra-handouts/quad-stand.pdf
- ↑ http://www.personal.kent.edu/~bosikiew/Algebra-handouts/quad-stand.pdf
- ↑ http://www.personal.kent.edu/~bosikiew/Algebra-handouts/quad-stand.pdf
- ↑ http://www.personal.kent.edu/~bosikiew/Algebra-handouts/quad-stand.pdf
- ↑ http://www.personal.kent.edu/~bosikiew/Algebra-handouts/quad-stand.pdf
- ↑ https://www.chilimath.com/algebra/advanced/inverse/find-inverse-quadratic-function.html
- ↑ https://www.chilimath.com/algebra/advanced/inverse/find-inverse-quadratic-function.html
- ↑ https://www.chilimath.com/algebra/advanced/inverse/find-inverse-quadratic-function.html
- ↑ https://www.chilimath.com/algebra/advanced/inverse/find-inverse-quadratic-function.html
- ↑ https://www.chilimath.com/algebra/advanced/inverse/find-inverse-quadratic-function.html
- ↑ https://www.chilimath.com/algebra/advanced/inverse/find-inverse-quadratic-function.html
- ↑ https://www.chilimath.com/algebra/advanced/inverse/find-inverse-quadratic-function.html
- ↑ https://www.chilimath.com/algebra/advanced/inverse/find-inverse-quadratic-function.html
- ↑ https://www.chilimath.com/algebra/advanced/inverse/find-inverse-quadratic-function.html
- ↑ https://www.chilimath.com/algebra/advanced/inverse/find-inverse-quadratic-function.html
- ↑ https://www.chilimath.com/algebra/advanced/inverse/find-inverse-quadratic-function.html
- ↑ https://www.chilimath.com/algebra/advanced/inverse/find-inverse-quadratic-function.html
- ↑ https://www.chilimath.com/algebra/advanced/inverse/find-inverse-quadratic-function.html
- ↑ https://www.chilimath.com/algebra/advanced/inverse/find-inverse-quadratic-function.html
El equipo de contenido de wikiHow revisa cuidadosamente el trabajo de nuestro personal editorial para asegurar que cada artículo cumpla con nuestros altos estándares de calidad. Este artículo ha sido visto 68 896 veces.