8.1 Radicals

Learning Objectives

  1. Find square roots.
  2. Find cube roots.
  3. Find nth roots.
  4. Simplify expressions using the product and quotient rules for radicals.

Square Roots

The square rootThe number that, when multiplied by itself, yields the original number. of a number is that number that when multiplied by itself yields the original number. For example, 4 is a square root of 16, because 4 2 =16. Since ( 4 ) 2 =16, we can say that −4 is a square root of 16 as well. Every positive real number has two square roots, one positive and one negative. For this reason, we use the radical sign   to denote the principal (nonnegative) square rootThe positive square root of a real number, denoted with the symbol  . and a negative sign in front of the radical   to denote the negative square root.

Zero is the only real number with one square root.

If the radicandThe expression a within a radical sign, an., the number inside the radical sign, is nonnegative and can be factored as the square of another nonnegative number, then the square root of the number is apparent. In this case, we have the following property:

 

Example 1: Find the square root.

a. 36

b. 144

c. 0.04

d. 19

Solution:

a. 36=62=6

b. 144=122=12

c. 0.04=(0.2)2=0.2

d. 19=( 1 3)2=13

 

Example 2: Find the negative square root.

a. 4

b. 1

Solution:

a. 4=22=2

b. 1=12=1

The radicand may not always be a perfect square. If a positive integer is not a perfect square, then its square root will be irrational. For example, 2 is an irrational number and can be approximated on most calculators using the square root button.

Next, consider the square root of a negative number. To determine the square root of −9, you must find a number that when squared results in −9:

However, any real number squared always results in a positive number:

The square root of a negative number is currently left undefined. For now, we will state that 9 is not a real a number.

Cube Roots

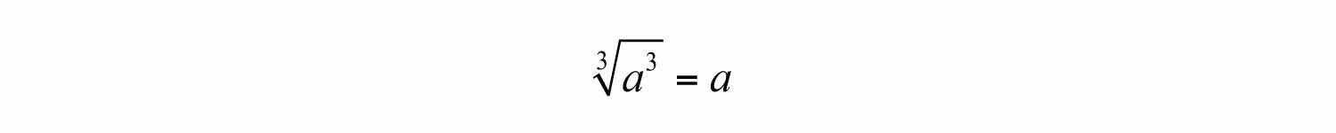
The cube rootThe number that, when used as a factor with itself three times, yields the original number; it is denoted with the symbol  3. of a number is that number that when multiplied by itself three times yields the original number. Furthermore, we denote a cube root using the symbol  3, where 3 is called the indexThe positive integer n in the notation  n that is used to indicate an nth root.. For example,

The product of three equal factors will be positive if the factor is positive and negative if the factor is negative. For this reason, any real number will have only one real cube root. Hence the technicalities associated with the principal root do not apply. For example,

In general, given any real number a, we have the following property:

When simplifying cube roots, look for factors that are perfect cubes.

 

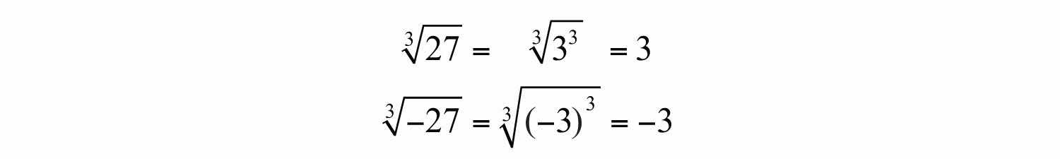
Example 3: Find the cube root.

a. 273

b. 643

c. 03

d. 183

Solution:

a. 273=333=3

b. 643=433=4

c. 03=033=0

d. 183=( 1 2)33=12

 

Example 4: Find the cube root.

a. 83

b. 13

c. 1273

Solution:

a. 83=(2)33=2

b. 13=(1)33=1

c. 1273=( 1 3)33=13

It may be the case that the radicand is not a perfect cube. If an integer is not a perfect cube, then its cube root will be irrational. For example, 23 is an irrational number which can be approximated on most calculators using the root button. Depending on the calculator, we typically type in the index prior to pushing the button and then the radicand as follows:

Therefore, we have

nth Roots

For any integer n2, we define the nth rootThe number that, when raised to the nth power, yields the original number. of a positive real number as that number that when raised to the nth power yields the original number. Given any nonnegative real number a, we have the following property:

Here n is called the index and an is called the radicand. Furthermore, we can refer to the entire expression an as a radicalUsed when referring to an expression of the form an.. When the index is an integer greater than 3, we say “fourth root”, “fifth root”, and so on. The nth root of any number is apparent if we can write the radicand with an exponent equal to the index.

 

Example 5: Find the nth root.

a. 814

b. 325

c. 17

d. 1164

Solution:

a. 814=344=3

b. 325=255=2

c. 17=177=1

d. 1164=( 1 2)44=12

If the index is n=2, then the radical indicates a square root and it is customary to write the radical without the index, as illustrated below:

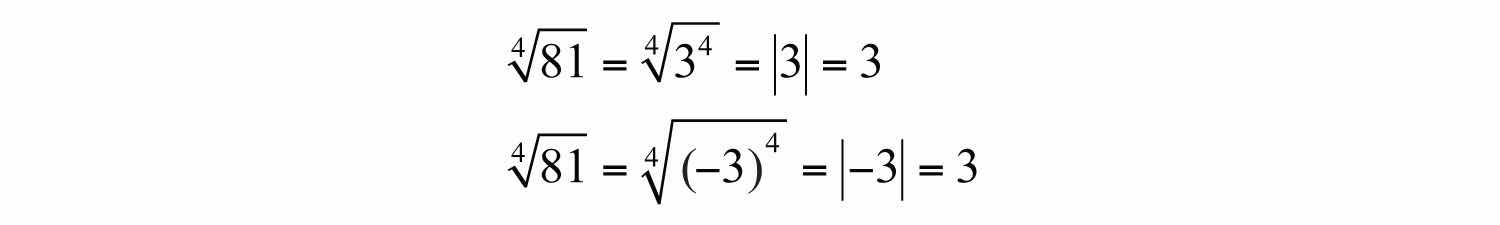
We have already taken care to define the principal square root of a number. At this point, we extend this idea to nth roots when n is even. For example, 3 is a fourth root of 81, because 34=81. And since (3)4=81, we can say that −3 is a fourth root of 81 as well. Hence we use the radical sign  n to denote the principal (nonnegative) nth rootThe positive nth root when n is even. when n is even. In this case, for any real number a, we use the following property:

For example,

The negative nth root, when n is even, will be denoted using a negative sign in front of the radical  n.

We have seen that the square root of a negative number is not real because any real number, when squared, will result in a positive number. In fact, a similar problem arises for any even index:

Here the fourth root of −81 is not a real number because the fourth power of any real number is always positive.

 

Example 6: Simplify.

a. 164

b. 164

Solution:

a. The radicand is negative and the index is even. Therefore, there is no real number that when raised to the fourth power is −16.

b. Here the radicand is positive. Furthermore, 16=24, and we can simplify as follows:

When n is odd, the same problems do not occur. The product of an odd number of positive factors is positive and the product of an odd number of negative factors is negative. Hence when the index n is odd, there is only one real nth root for any real number a. And we have the following property:

 

Example 7: Find the nth root.

a. 325

b. 17

Solution:

a. 325=(2)55=2

b. 17=(1)77=1

 

Try this! Find the fourth root: 6254.

Answer: 5

Video Solution

(click to see video)

Summary: When n is odd, the nth root is positive or negative depending on the sign of the radicand.

When n is even, the nth root is positive or not real depending on the sign of the radicand.

Simplifying Using the Product and Quotient Rule for Radicals

It will not always be the case that the radicand is a perfect power of the given index. If not, we use the following two properties to simplify them. If a and b represent positive real numbers, then we have

Product rule for radicalsabn=anbn, where a and b represent positive real numbers.:

abn=anbn

Quotient rule for radicalsabn=anbn, where a and b represent positive real numbers.:

abn=anbn

A radical is simplifiedA radical where the radicand does not consist of any factor that can be written as a perfect power of the index. if it does not contain any factor that can be written as a perfect power of the index.

 

Example 8: Simplify: 12.

Solution: Here 12 can be written as 4 ⋅ 3, where 4 is a perfect square.

We can verify our answer on a calculator:

Also, it is worth noting that

Answer: 23

 

Example 9: Simplify: 135.

Solution: Begin by finding the largest perfect square factor of 135.

Therefore,

Answer: 315

 

Example 10: Simplify: 50121.

Solution: Begin by finding the prime factorizations of both 50 and 121. This will enable us to easily determine the largest perfect square factors.

Therefore,

Answer: 5211

 

Example 11: Simplify: 1623.

Solution: Use the prime factorization of 162 to find the largest perfect cube factor:

Replace the radicand with this factorization and then apply the product rule for radicals.

We can verify our answer on a calculator.

Answer: 363

 

Try this! Simplify: 2963.

Answer: 4123

Video Solution

(click to see video)

 

Example 12: Simplify: 965.

Solution: Here we note that the index is odd and the radicand is negative; hence the result will be negative. We can factor the radicand as follows:

Then simplify:

Answer: 235

 

Example 13: Simplify: 8643.

Solution: In this case, consider the equivalent fraction with 8=(2)3 in the numerator and then simplify.

Answer: −1/2

 

Try this! Simplify 1083.

Answer: 343

Video Solution

(click to see video)

Key Takeaways

  • The square root of a number is that number that when multiplied by itself yields the original number. When the radicand a is positive, a2=a. When the radicand is negative, the result is not a real number.
  • The cube root of a number is that number that when used as a factor with itself three times yields the original number. The cube root may be positive or negative depending on the sign of the radicand. Therefore, for any real number a, we have the property a33=a.
  • When working with nth roots, n determines the definition that applies. We use ann=a when n is odd and ann=|a| when n is even. When n is even, the negative nth root is denoted with a negative sign in front of the radical sign.
  • To simplify square roots, look for the largest perfect square factor of the radicand and then apply the product or quotient rule for radicals.
  • To simplify cube roots, look for the largest perfect cube factor of the radicand and then apply the product or quotient rule for radicals.
  • To simplify nth roots, look for the factors that have a power that is equal to the index n and then apply the product or quotient rule for radicals. Typically, the process is streamlined if you work with the prime factorization of the radicand.

Topic Exercises

Part A: Radicals

Simplify.

1. 81

2. 100

3. 64

4. 121

5. 0

6. 1

7. 0.25

8. 0.01

9. 1.21

10. 2.25

11. 14

12. 136

13. 2516

14. 925

15. 25

16. 9

17. 36

18. 81

19. 100

20. 1

21. 273

22. 1253

23. 643

24. 83

25. 183

26. 1643

27. 8273

28. 641253

29. 0.0013

30. 1,0003

31. 13

32. 83

33. 273

34. 643

35. 183

36. 27643

37. 8273

38. 11253

39. 814

40. 6254

41. 164

42. 10,0004

43. 325

44. 15

45. 2435

46. 100,0005

47. 164

48. 16

49. 325

50. 15

51. 1

52. 164

53. 5273

54. 283

55. 51,0003

56. 32435

57. 10164

58. 2646

59. 325

60. 64

61. 2273

62. 82435

63. 783

64. 46254

65. 6100,0005

66. 51287

Part B: Simplifying Radicals

Simplify.

67. 32

68. 250

69. 80

70. 150

71. 160

72. 60

73. 175

74. 216

75. 5112

76. 10135

77. 5049

78. 2120

79. 3162

80. 89

81. 45121

82. 9681

83. 543

84. 243

85. 483

86. 813

87. 403

88. 1203

89. 1623

90. 5003

91. 541253

92. 403433

93. 5483

94. 21083

95. 8964

96. 71624

97. 1605

98. 4865

99. 2242435

100. 5325

Simplify. Give the exact answer and the approximate answer rounded to the nearest hundredth.

101. 8

102. 200

103. 45

104. 72

105. 34

106. 59

107. 3225

108. 4849

109. 803

110. 3203

111. 483

112. 2703

Rewrite the following as a radical expression with coefficient 1.

113. 215

114. 37

115. 510

116. 103

117. 273

118. 363

119. 254

120. 324

121. The formula for the area A of a square is A=s2. If the area is 18 square units, then what is the length of each side?

122. Calculate the length of a side of a square with an area of 60 square centimeters.

123. The formula for the volume V of a cube is V=s3. If the volume of a cube is 112 cubic units, then what is the length of each side?

124. Calculate the length of a side of a cube with a volume of 54 cubic centimeters.

Part C: Discussion Board

125. Explain why there are two square roots for any nonzero real number.

126. Explain why there is only one cube root for any real number.

127. What is the square root of 1, and what is the cube root of 1? Explain why.

128. Explain why 1 is not a real number and why 13 is a real number.

Answers

1: 9

3: 8

5: 0

7: 0.5

9: 1.1

11: 1/2

13: 5/4

15: Not a real number

17: −6

19: −10

21: 3

23: 4

25: 1/2

27: 2/3

29: 0.1

31: −1

33: −3

35: −1/2

37: −2/3

39: 3

41: 2

43: 2

45: 3

47: −2

49: −2

51: Not a real number

53: 15

55: −50

57: Not a real number

59: 15

61: 6

63: −14

65: 60

67: 42

69: 45

71: 410

73: 57

75: 207

77: 527

79: 272

81: 3511

83: 323

85: 263

87: 253

89: 363

91: 3235

93: 1063

95: 1664

97: 255

99: 2753

101: 222.83

103: 356.71

105: 320.87

107: 4251.13

109: 21034.31

111: 2633.63

113: 60

115: 250

117: 563

119: 804

121: 32 units

123: 2143 units