8.2 Simplifying Radical Expressions

Learning Objectives

  1. Simplify radical expressions using the product and quotient rule for radicals.
  2. Use formulas involving radicals.
  3. Evaluate given square root and cube root functions.

Simplifying Radical Expressions

An algebraic expression that contains radicals is called a radical expressionAn algebraic expression that contains radicals.. We use the product and quotient rules to simplify them.

 

Example 1: Simplify: 8y33.

Solution: Use the fact that ann=a when n is odd.

Answer: 2y

 

Example 2: Simplify: 9x2.

Solution: The square root has index 2; use the fact that ann=|a| when n is even.

Since x is a variable, it may represent a negative number. Thus we need to ensure that the result is positive by including the absolute value operator.

Answer: 3|x|

Important Note

Typically, at this point beginning algebra texts note that all variables are assumed to be positive. If this is the case, then x in the previous example is positive and the absolute value operator is not needed. The example can be simplified as follows:

9x2=32x2 =32x2=3x

In this section, we will assume that all variables are positive. This allows us to focus on calculating nth roots without the technicalities associated with the principal nth root problem. For this reason, we will use the following property for the rest of the section:

ann=a,     if    a0         nth root

When simplifying radical expressions, look for factors with powers that match the index.

 

Example 3: Simplify: 18x3y4.

Solution: Begin by determining the square factors of 18, x3, and y4.

Make these substitutions and then apply the product rule for radicals and simplify.

Answer: 3xy22x

 

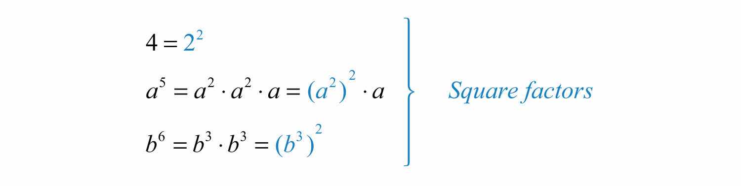
Example 4: Simplify: 4a5b6.

Solution: Begin by determining the square factors of 4, a5, and b6.

Make these substitutions and then apply the product rule for radicals and simplify.

Answer: 2a2ab3

 

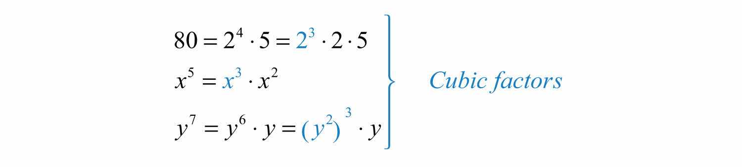
Example 5: Simplify: 80x5y73.

Solution: Begin by determining the cubic factors of 80, x5, and y7.

Make these substitutions and then apply the product rule for radicals and simplify.

Answer: 2xy210x2y3

 

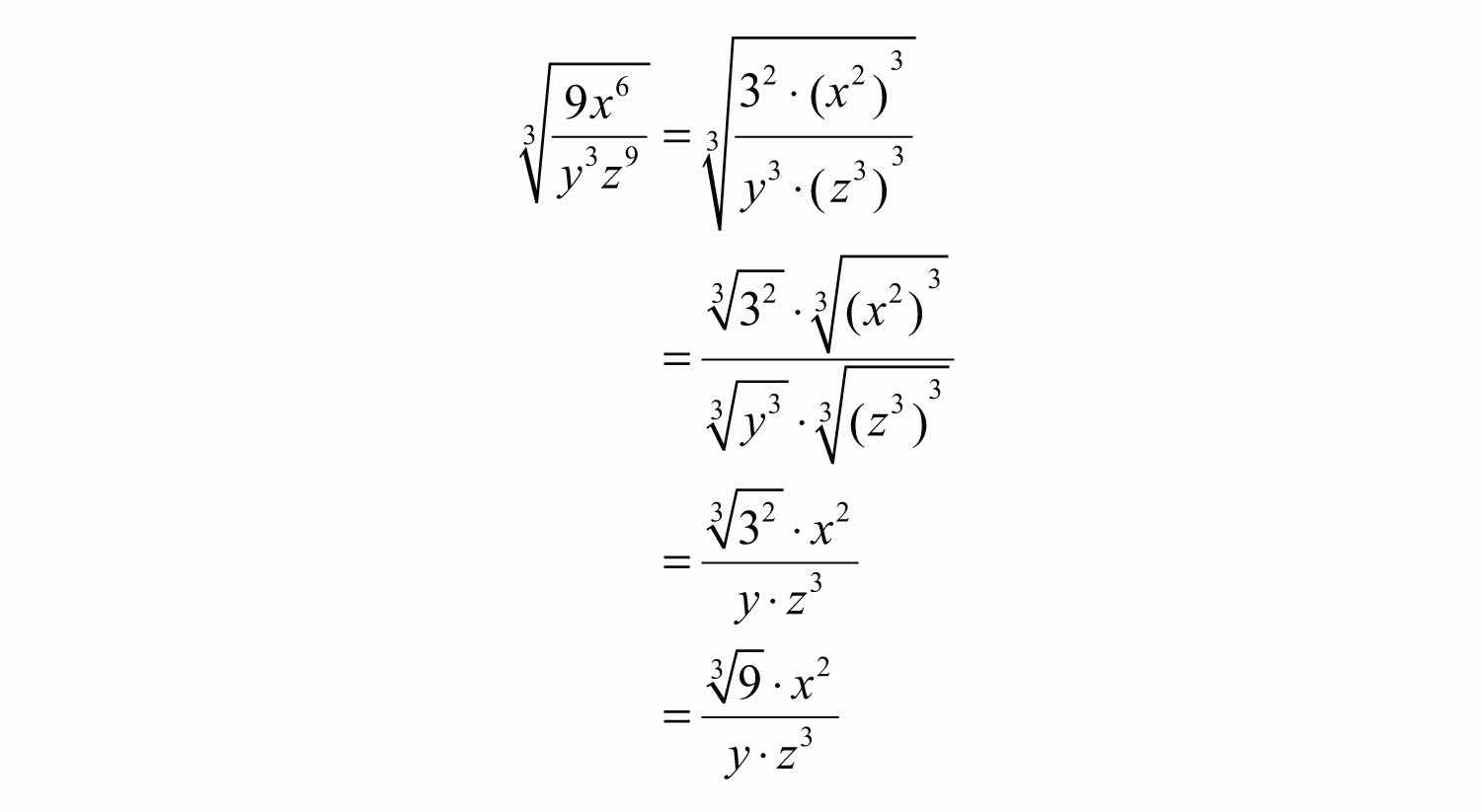
Example 6: Simplify 9x6y3z93.

Solution: The coefficient 9=32 and thus does not have any perfect cube factors. It will be left as the only remaining radicand because all of the other factors are cubes, as illustrated below:

Replace the variables with these equivalents, apply the product and quotient rule for radicals, and then simplify.

Answer: x293yz3

 

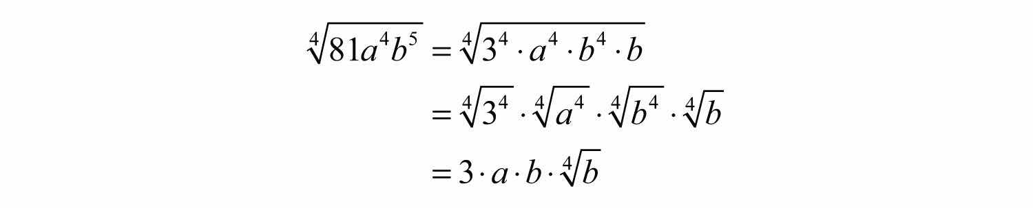
Example 7: Simplify: 81a4b54.

Solution: Determine all factors that can be written as perfect powers of 4. Here it is important to see that b5=b4b. Hence the factor b will be left inside the radical.

Answer: 3abb4

 

Example 8: Simplify: 32x3y6z55.

Solution: Notice that the variable factor x cannot be written as a power of 5 and thus will be left inside the radical. In addition, for y6=y5y; the factor y will be left inside the radical as well.

Answer: 2yzx3y5

 

Try this! Simplify: 192x6y7z12. (Assume all variables are positive.)

Answer: 8x3y3z63y

Video Solution

(click to see video)

Tip

To easily simplify an nth root, we can divide the powers by the index.

a6=a3,     which is   a6÷2=a3b63=b2,     which is   b6÷3=b2c66=c ,      which is   c6÷6=c1

If the index does not divide into the power evenly, then we can use the quotient and remainder to simplify. For example,

a5=a2a,     which is   a5÷2=a2r1b53=bb23,      which is    b5÷3=b1r2c145=c2c45,    which is   c14÷5=c2r4

The quotient is the exponent of the factor outside of the radical, and the remainder is the exponent of the factor left inside the radical.

Formulas Involving Radicals

We next review the distance formula. Given two points (x1,y1) and (x2,y2),

The distance, d, between them is given by the following formula:

Distance formulaGiven two points (x1,y1) and (x2,y2), calculate the distance d between them using the formula d = ( x 2 x 1)2+( y 2 y 1)2.:

d=( x 2 x 1)2+( y 2 y 1)2

Recall that this formula was derived from the Pythagorean theorem.

 

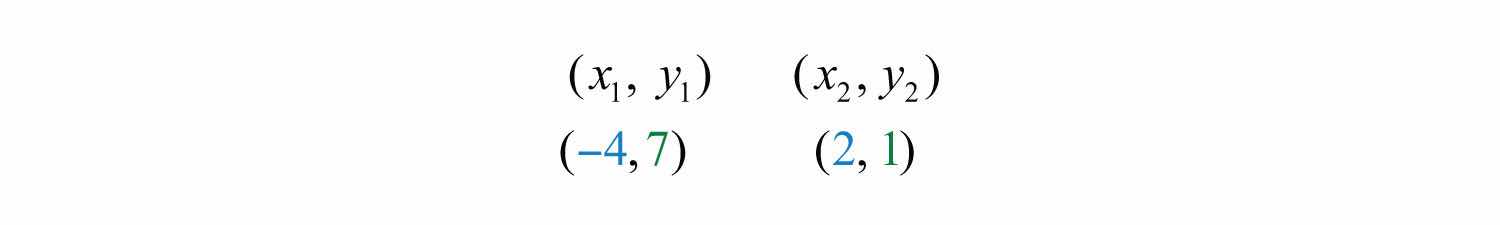
Example 9: Calculate the distance between (−4, 7) and (2, 1).

Solution: Use the distance formula with the following points.

It is a good practice to include the formula in its general form before substituting values for the variables; this improves readability and reduces the probability of making errors.

Answer: 62 units

 

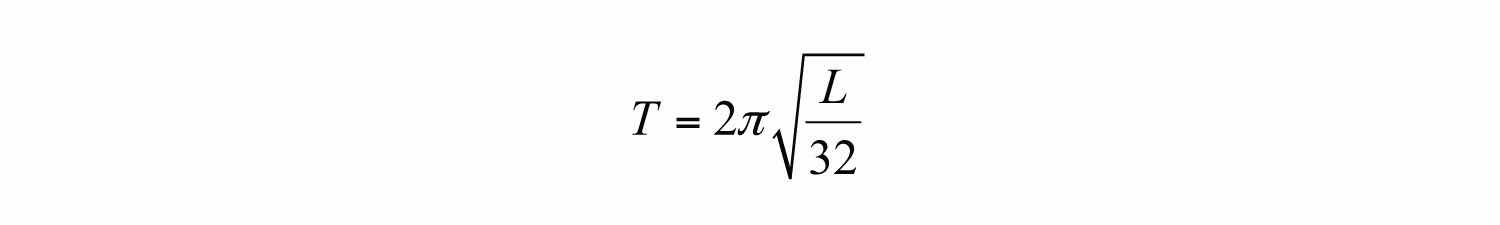
Example 10: The period, T, of a pendulum in seconds is given by the formula

where L represents the length of the pendulum in feet. If the length of a pendulum measures 6 feet, then calculate the period rounded off to the nearest tenth of a second.

Solution: Substitute 6 for L and then simplify.

Answer: The period is approximately 2.7 seconds.

Square Root and Cube Root Functions

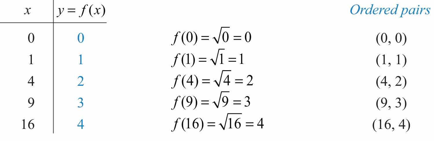
We begin with the square root functionThe function f(x)=x.:

We know that the square root is not a real number when the radicand x is negative. Therefore, we conclude that the domain consists of all real numbers greater than or equal to 0. Here we choose 0 and some positive values for x, calculate the corresponding y-values, and plot the resulting ordered pairs.

After plotting the points, we can then sketch the graph of the square root function.

 

Example 11: Given the function f(x)=x+2, find f(2), f(2), and f(6).

Solution: Replace x with each of the given values.

Answer: f(2)=0, f(2)=2, and f(6)=22

 

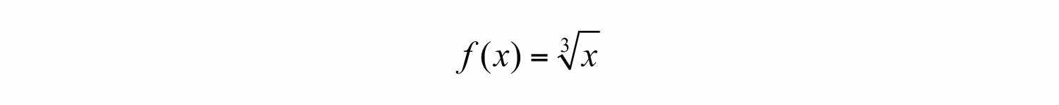
Next, consider the cube root functionThe function f(x)=x3.:

Since the cube root could be either negative or positive, we conclude that the domain consists of all real numbers. For completeness, choose some positive and negative values for x, as well as 0, and then calculate the corresponding y-values.

Plot the points and sketch the graph of the cube root function.

 

Example 12: Given the function g(x)=x13, find g(7), g(0), and g(55).

Solution: Replace x with each of the given values.

Answer: g(7)=2, g(0)=1, and g(55)=323

Key Takeaways

  • In beginning algebra, we typically assume that all variable expressions within the radical are positive. This allows us to focus on simplifying radicals without the technical issues associated with the principal nth root.
  • To simplify radical expressions, look for factors of the radicand with powers that match the index. If found, they can be simplified by applying the product and quotient rules for radicals, as well as the property ann=a, where a is positive.

Topic Exercises

Part A: Simplifying Radical Expressions

Simplify. (Assume all variables represent positive numbers.)

1. 36a2

2. 121b2

3. x2y2

4. 25x2y2z2

5. 180x3

6. 150y3

7. 49a3b2

8. 4a4b3c

9. 45x5y3

10. 50x6y4

11. 64r2s6t5

12. 144r8s6t2

13. (x+1)2

14. (2x+3)2

15. 4(3x1)2

16. 9(2x+3)2

17. 9x325y2

18. 4x59y4

19. m736n4

20. 147m9n6

21. 2r2s525t4

22. 36r5s2t6

23. 27a33

24. 125b33

25. 250x4y33

26. 162a3b53

27. 64x3y6z93

28. 216x12y33

29. 8x3y43

30. 27x5y33

31. a4b5c63

32. a7b5c33

33. 8x427y33

34. x5125y63

35. 360r5s12t133

36. 540r3s2t93

37. 81x44

38. x4y44

39. 16x4y84

40. 81x12y44

41. a4b5c64

42. 54a6c84

43. 128x64

44. 243y74

45. 32m10n55

46. 37m9n105

47. 34x2

48. 79y2

49. 5x4x2y

50. 3y16x3y2

51. 12aba5b3

52. 6a2b9a7b2

53. 2x8x63

54. 5x227x33

55. 2ab8a4b53

56. 5a2b27a3b33

Rewrite the following as a radical expression with coefficient 1.

57. 52x

58. 23y

59. 2x3

60. 3y2

61. ab10a

62. 2ab2a

63. m2nmn

64. 2m2n33n

65. 52x3

66. 35y3

67. 2x33

68. 3y23

Assume that the variable could represent any real number and then simplify.

69. 4x2

70. 25y2

71. 8y33

72. 125a33

73. 64x44

74. 81y44

75. 36a4

76. 100a8

77. 4a6

78. a10

79. 18a4b5

80. 48a5b3

81. 128x6y86

82. a6b7c86

Part B: Formulas Involving Radicals

The y-intercepts for any graph will have the form (0, y), where y is a real number. Therefore, to find y-intercepts, set x = 0 and solve for y. Find the y-intercepts for the following.

83. y=x+41

84. y=x+13

85. y=x13+2

86. y=x+133

Use the distance formula to calculate the distance between the given two points.

87. (5, −7) and (3, −8)

88. (−9, 7) and (−8, 4)

89. (−3, −4) and (3, −6)

90. (−5, −2) and (1, −6)

91. (−1, 1) and (−4, 10)

92. (8, −3) and (2, −12)

Factor the radicand and then simplify. (Assume that all expressions are positive.)

93. x26x+9

94. x210x+25

95. 4x2+12x+9

96. 9x2+6x+1

97. The speed of a vehicle before the brakes were applied can be estimated by the length of the skid marks left on the road. On dry pavement, the speed, v, in miles per hour can be estimated by the formula v=5d, where d represents the length of the skid marks in feet. Estimate the speed of a vehicle before applying the brakes on dry pavement if the skid marks left behind measure 36 feet.

98. The radius, r, of a sphere can be calculated using the formula r=6π2V32π, where V represents the sphere’s volume. What is the radius of a sphere if the volume is 36π cubic centimeters?

The period, T, of a pendulum in seconds is given by the formula

T=2πL32

where L represents the length in feet. Calculate the period, given the following lengths. Give the exact value and the approximate value rounded off to the nearest tenth of a second.

99. 8 feet

100. 32 feet

101. 1/2 foot

102. 1/8 foot

The time, t, in seconds that an object is in free fall is given by the formula t=s4

where s represents the distance it has fallen in feet. Calculate the time it takes an object to fall, given the following distances. Give the exact value and the approximate value rounded off to the nearest tenth of a second.

103. 48 feet

104. 80 feet

105. 192 feet

106. 288 feet

Part C: Radical Functions

Given the function, calculate the following.

107. f(x)=x1, find f(1), f(2), and f(5)

108. f(x)=x+5, find f(5), f(1), and f(20)

109. f(x)=x+3, find f(0), f(1), and f(16)

110. f(x)=x5, find f(0), f(1), and f(25)

111. g(x)=x3, find g(1), g(0), and g(1)

112. g(x)=x+73, find g(15), g(7), and g(20)

113. g(x)=x32, find g(1), g(0), and g(8)

114. g(x)=x13+2, find g(0), g(2), and g(9)

For each function, fill in the table.

115. f(x)=x+1

116. f(x)=x2

117. f(x)=x3+1

118. f(x)=x+23

Part D: Discussion Board

119. Give a value for x such that x2x. Explain why it is important to assume that the variables represent positive numbers.

120. Research and discuss the accomplishments of Christoph Rudolff. What is he credited for?

121. Research and discuss the methods used for calculating square roots before the common use of electronic calculators.

122. What is a surd, and where does the word come from?

Answers

1: 6a

3: xy

5: 6x5x

7: 7aba

9: 3x2y5xy

11: 8rs3t2t

13: x+1

15: 2(3x1)

17: 3xx5y

19: m3m6n2

21: rs22s5t2

23: 3a

25: 5xy2x3

27: 4xy2z3

29: 2xyy3

31: abc2ab23

33: 2xx33y

35: 2rs4t445r2t3

37: 3x

39: 2xy2

41: abcbc24

43: 2x8x24

45: 2m2n

47: 6x

49: 10x2y

51: 12a3b2ab

53: 4x3

55: 4a2b2ab23

57: 50x

59: 12x2

61: 10a3b2

63: m5n3

65: 250x3

67: 24x33

69: 2|x|

71: 2y

73: 2|x|

75: 6a2

77: 2|a3|

79: 3a2b22b

81: 2|xy|2y26

83: (0, 1)

85: (0, 1)

87: 5

89: 210

91: 310

93: x3

95: 2x+3

97: 30 miles per hour

99: π3.1 seconds

101: π/40.8 seconds

103: 31.7 seconds

105: 233.5 seconds

107: f(1)=0, f(2)=1, and f(5)=2

109: f(0)=3, f(1)=4, and f(16)=7

111: g(1)=1, g(0)=0, and g(1)=1

113: g(1)=3, g(0)=2, and g(8)=0

115:

117: