8.3 Adding and Subtracting Radical Expressions

Learning Objectives

  1. Add and subtract like radicals.
  2. Simplify radical expressions involving like radicals.

Adding and Subtracting Radical Expressions

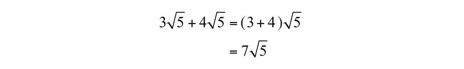
Adding and subtracting radical expressions is similar to adding and subtracting like terms. Radicals are considered to be like radicalsRadicals that share the same index and radicand., or similar radicalsTerm used when referring to like radicals., when they share the same index and radicand. For example, the terms 35 and 45 contain like radicals and can be added using the distributive property as follows:

Typically, we do not show the step involving the distributive property and simply write

When adding terms with like radicals, add only the coefficients; the radical part remains the same.

 

Example 1: Add: 32+22.

Solution: The terms contain like radicals; therefore, add the coefficients.

Answer: 52

 

Subtraction is performed in a similar manner.

 

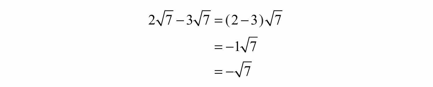
Example 2: Subtract: 2737.

Solution:

Answer: 7

 

If the radicand and the index are not exactly the same, then the radicals are not similar and we cannot combine them.

 

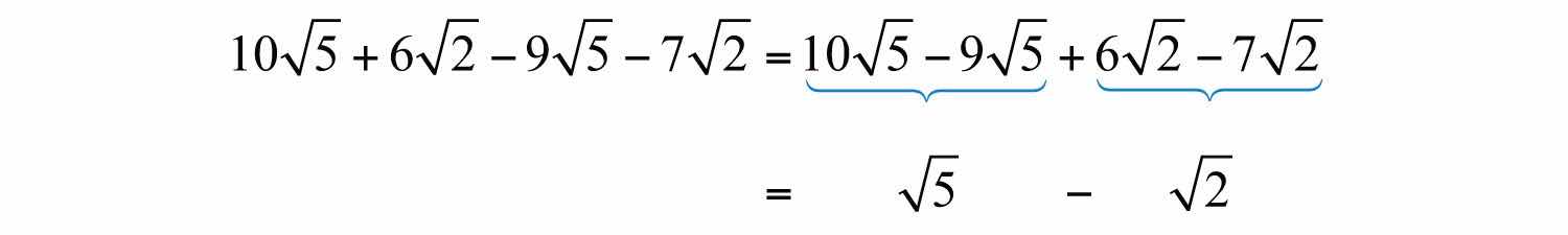
Example 3: Simplify: 105+629572.

Solution:

We cannot simplify any further because 5 and 2 are not like radicals; the radicands are not the same.

Answer: 52

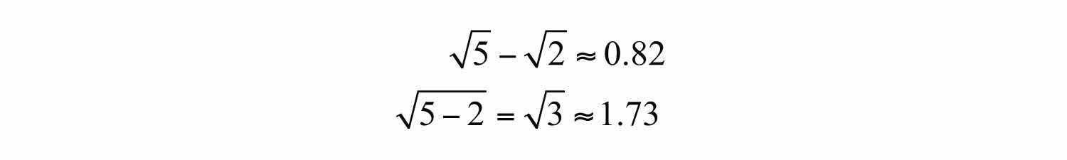
Caution

It is important to point out that 5252. We can verify this by calculating the value of each side with a calculator.

In general, note that an±bna±bn.

Example 4: Simplify: 363+266336.

Solution:

We cannot simplify any further because 63 and 6 are not like radicals; the indices are not the same.

Answer: 2636

 

Often we will have to simplify before we can identify the like radicals within the terms.

 

Example 5: Subtract: 1248.

Solution: At first glance, the radicals do not appear to be similar. However, after simplifying completely, we will see that we can combine them.

Answer: 23

 

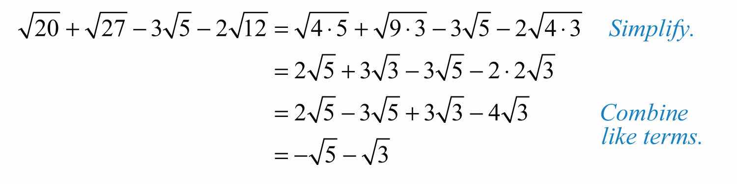
Example 6: Simplify: 20+2735212.

Solution:

Answer: 53

 

Try this! Subtract: 25068.

Answer: 22

Video Solution

(click to see video)

Next, we work with radical expressions involving variables. In this section, assume all radicands containing variable expressions are not negative.

 

Example 7: Simplify: 62x33x3+72x3.

Solution:

We cannot combine any further because the remaining radical expressions do not share the same radicand; they are not like radicals. Note that 2x33x32x3x3.

Answer: 2x33x3

 

We will often find the need to subtract a radical expression with multiple terms. If this is the case, remember to apply the distributive property before combining like terms.

 

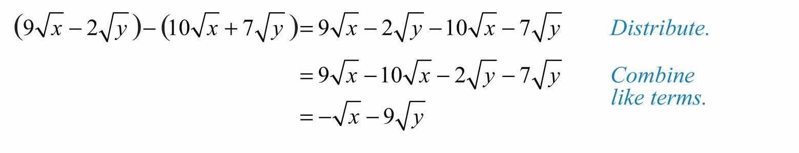
Example 8: Simplify: (9x2y)(10x+7y).

Solution:

Answer: x9y

 

Until we simplify, it is often unclear which terms involving radicals are similar.

 

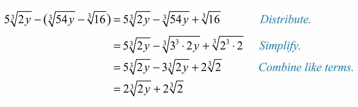
Example 9: Simplify: 52y3(54y3163).

Solution:

Answer: 22y3+223 

 

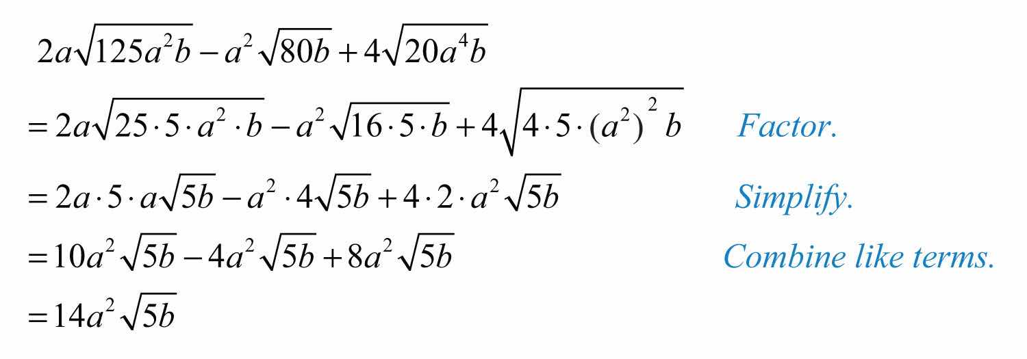
Example 10: Simplify: 2a125a2ba280b+420a4b.

Solution:

Answer: 14a25b

 

Try this! Simplify: 45x3(20x380x).

Answer: x5x+45x

Video Solution

(click to see video)

Tip

Take careful note of the differences between products and sums within a radical.

Products Sums
x2y2=xyx3y33=xy x2+y2x+yx3+y33x+y

The property abn=anbn says that we can simplify radicals when the operation in the radicand is multiplication. There is no corresponding property for addition.

Key Takeaways

  • Add and subtract terms that contain like radicals just as you do like terms. If the index and radicand are exactly the same, then the radicals are similar and can be combined. This involves adding or subtracting only the coefficients; the radical part remains the same.
  • Simplify each radical completely before combining like terms.

Topic Exercises

Part A: Adding and Subtracting Like Radicals

Simplify.

1. 93+53

2. 126+36

3. 4575

4. 310810

5. 646+26

6. 5101510210

7. 1376257+52

8. 10131215+5131815

9. 65(4335)

10. 122(66+2)

11. (25310)(10+35)

12. (83+615)(315)

13. 463353+663

14. 103+51034103

15. (793433)(93333)

16. (853+253)(253+6253)

Simplify. (Assume all radicands containing variable expressions are positive.)

17. 9x+7x

18. 8y+4y

19. 7xy3xy+xy

20. 10y2x12y2x2y2x

21. 2ab5a+6ab10a

22. 3xy+6y4xy7y

23. 5xy(3xy7xy)

24. 8ab(2ab4ab)

25. (32x3x)(2x73x)

26. (y42y)(y52y)

27. 5x312x3

28. 2y33y3

29. a3b5+4a3b5a3b5

30. 8ab4+3ab42ab4

31. 62a42a3+72a2a3

32. 43a5+3a393a5+3a3

33. (4xy4xy3)(24xy4xy3)

34. (56y65y)(26y6+3y)

Part B: Adding and Subtracting Rational Expressions

Simplify.

35. 7512

36. 2454

37. 32+278

38. 20+4845

39. 2827+6312

40. 90+244054

41. 4580+2455

42. 108+48753

43. 42(2772)

44. 35(2050)

45. 163543

46. 813243

47. 1353+40353

48. 108332343

49. 227212

50. 350432

51. 324321848

52. 6216224296

53. 218375298+448

54. 24512+220108

55. (2363396)(712254)

56. (2288+3360)(272740)

57. 3543+525034163

58. 416232384337503

Simplify. (Assume all radicands containing variable expressions are positive.)

59. 81b+4b

60. 100a+a

61. 9a2b36a2b

62. 50a218a2

63. 49x9y+x4y

64. 9x+64y25xy

65. 78x(316y218x)

66. 264y(332y81y)

67. 29m2n5m9n+m2n

68. 418n2m2n8m+n2m

69. 4x2y9xy216x2y+y2x

70. 32x2y2+12x2y18x2y227x2y

71. (9x2y16y)(49x2y4y)

72. (72x2y218x2y)(50x2y2+x2y)

73. 12m4nm75m2n+227m4n

74. 5n27mn2+212mn4n3mn2

75. 227a3ba48aba144a3b

76. 298a4b2a162a2b+a200b

77. 125a327a3

78. 1000a2364a23

79. 2x54x3216x43+52x43

80. x54x33250x63+x223

81. 16y24+81y24

82. 32y45y45

83. 32a34162a34+52a34

84. 80a4b4+5a4b4a5b4

85. 27x33+8x3125x33

86. 24x3128x381x3

87. 27x4y38xy33+x64xy3yx3

88. 125xy33+8x3y3216xy33+10xy3

89. (162x4y3250x4y23)(2x4y23384x4y3)

90. (32x2y65243x6y25)(x2y65xxy25)

Part C: Discussion Board

91. Choose values for x and y and use a calculator to show that x+yx+y.

92. Choose values for x and y and use a calculator to show that x2+y2x+y.

Answers

1: 143

3: 25

5: 6

7: 872

9: 9543

11: 5410

13: 1063353

15: 69333

17: 16x

19: 5xy

21: 8ab15a

23: 9xy

25: 22x+63x

27: 7x3

29: 4a3b5

31: 132a52a3

33: 4xy4

35: 33

37: 22+33

39: 5753

41: 55

43: 10233

45: 23

47: 453

49: 23

51: 23362

53: 82+3

55: 8366

57: 2623

59: 11b

61: 3ab

63: 8x5y

65: 202x12y

67: 8mn

69: 2xy2yx

71: 4xy

73: 3m23n

75: 2a3ab12a2ab

77: 2a3

79: 7x2x3

81: 5y24

83: 42a34

85: 2x+2x3

87: 7xxy33yx3

89: 7x6xy36x2xy23